新疆农业科学 ›› 2025, Vol. 62 ›› Issue (5): 1075-1083.DOI: 10.6048/j.issn.1001-4330.2025.05.004

• 作物遗传育种·耕作栽培·生理生化 • 上一篇    下一篇

钾肥配施及用量对膜下滴灌棉花生长发育及产量的影响

穆光荣1(), 李杰2,3(), 古丽娜孜·居来提1, 娄善伟2, 帕尔哈提·买买提2,3, 马腾飞2, 张鹏忠2,3, 吴湘林3, 张立祯2,4, 巴特尔·巴克1()   

  1. 1.新疆农业大学资源与环境学院,乌鲁木齐 830052
    2.国家棉花工程技术研究中心/新疆维吾尔自治区农业科学院棉花研究所,乌鲁木齐 830091
    3.农业农村部西北绿洲农业环境重点实验室, 乌鲁木齐 830091
    4.中国农业大学资源与环境学院,北京 100083
  • 收稿日期:2024-10-17 出版日期:2025-05-20 发布日期:2025-07-09
  • 通信作者: 李杰(1988-),男,助理研究员,硕士,研究方向为棉花栽培生理与水肥一体化,(E-mail)lj880902@126.com;
    巴特尔·巴克(1973-),男,教授,博士,研究方向为干旱区气候变化与减灾管理,(E-mail)baturbake@xjau.edu.cn
  • 作者简介:穆光荣(2000-),女,新疆伊犁人,硕士研究生,研究方向为棉花栽培生理与水肥一体化,(E-mail)guangrongmu@163.com
  • 基金资助:
    农业农村部西北绿洲农业环境重点实验室开放基金(XBLZ-20222);新疆“天山英才”培养计划(2023TSYCTD004)

Effects of potassium fertilizer rationing and dosage on the growth, development and yield of cotton under membrane drip irrigation

MU Guangrong1(), LI Jie2,3(), Gulnaz Jurat1, LOU Shanwei2, Parhat Mamat2,3, MA Tengfei2, ZHANG Pengzhong2,3, WU Xianglin3, ZHANG Lizhen2,4, Batur Bake1()   

  1. 1. College of Resources and Environment, Xinjiang Agricultural University, Urumqi 830052, China
    2. National Cotton Engineering and Technology Research Center/Cotton Research Institute, Xinjiang Uyghur Autonomous Region Academy of Agricultural Sciences, Urumqi 830091, China
    3. Key Laboratory of Desert Oasis Crop Physiological Ecology and Tillage, Ministry of Agriculture and Rural Areas, Urumqi 830091, China
    4. College of Resources and Environment, China Agricultural University, Beijing 100083, China
  • Received:2024-10-17 Published:2025-05-20 Online:2025-07-09
  • Supported by:
    Open Fund for the Northwest Oasis Agro-Environment Key Laboratory of the Ministry of Agriculture and Rural Affairs(XBLZ-20222);Xinjiang "Tianshan Talents" Training Program(2023TSYCTD004)

摘要:

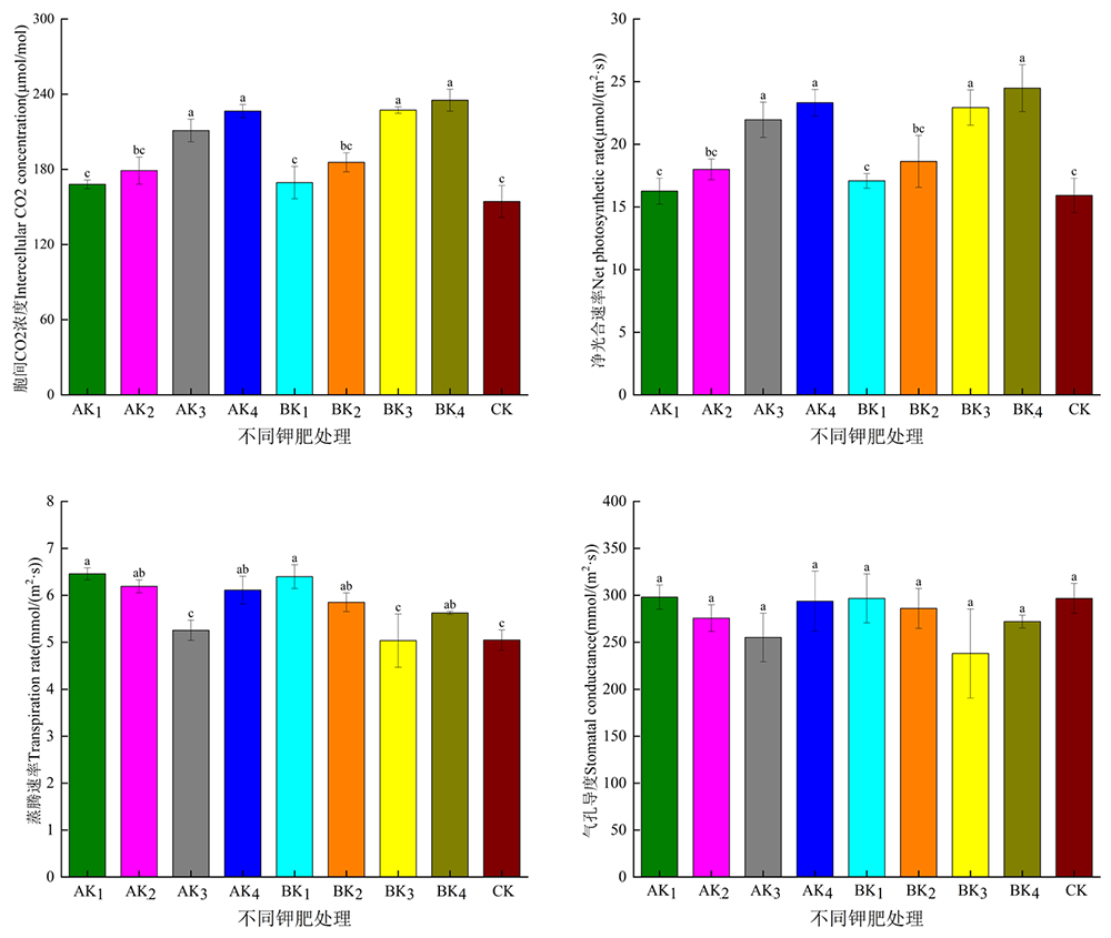
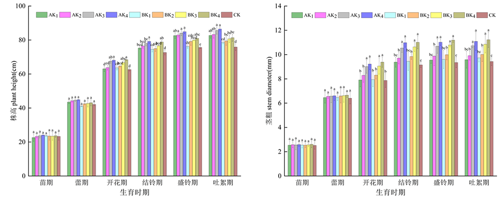
【目的】探究钾肥配施和用量在棉花生产中的效果,分析适宜新疆膜下滴灌棉花生长的施钾水平。【方法】设置4个钾肥用量,即纯钾(K2O)60、90、120和150 kg/hm2,分别以K1、K2、K3和 K4表示;设2种钾肥,即硫酸钾、硫酸钾+腐植酸钾(1∶1配比),分别以A和B表示,共计8个处理,不施钾肥CK为对照。【结果】各处理棉花株高在AK4处理较大,但与BK4无显著差异。茎粗在BK4处理下达到最大,但与AK3、AK4和BK3之间无显著差异;SPAD值各处理呈先增加后降低的趋势,结铃期中AK4处理达到最大值,但与AK3、BK3和BK4间无显著差异;干物质积累随生育期进程推进先缓慢增加后迅速增加,在盛铃期达到最大,各处理中BK4处理的干物质积累最高,但与AK3、AK4和BK3间无显著差异;花铃期胞间CO2浓度、净光合速率随施肥量的增加而增加,蒸腾速率和气孔导度随施肥量的增加先降低后增加。2种钾肥处理籽棉产量均随施肥量的增加而增加,BK4处理产量最高,但与AK3、AK4和BK3间无显著差异。【结论】硫酸钾复配腐植酸钾处理优于单施硫酸钾处理,BK3处理为最佳处理。

关键词: 钾肥; 棉花; 干物质; 光合; 产量

Abstract:

【Objective】 To investigate the effects of potash fertilizer distribution and dosage in cotton production and clarify the most suitable potassium application level for cotton growth under drip irrigation under membrane in Xinjiang. 【Methods】 Four potash dosages were set, i.e., 60, 90, 120 and 150 kg/hm2 of pure potassium (K2O), which were expressed as K1, K2, K3 and K4, respectively; and two kinds of potash fertilizers, i.e., potassium sulphate and potassium sulphate+potassium humate (1:1 ratio), which were expressed as A and B, with eight treatments in total, and no potash fertilizers were applied to CK as the control. 【Results】 The experiment showed that plant height of cotton in all treatments was greater in AK4 treatment, but not significantly different from BK4. Stem thickness reached the maximum in BK4 treatment, but there was no significant difference with AK3, AK4 and BK3;SPAD value showed a trend of increasing and then decreasing in each treatment, and reached the maximum in AK4 treatment in the boll stage, but there was no significant difference with AK3, BK3 and BK4; Dry matter accumulation increased slowly and then rapidly with the progress of fertility, and reached the maximum at the full-bell stage, and the dry matter accumulation of BK4 treatment was the highest among all treatments, but there was no significant difference with AK3, AK4 and BK3; Intercellular CO2 concentration and net photosynthetic rate at the boll stage increased with the increase of fertilizer application, and transpiration rate and stomatal conductance decreased and then increased with the increase of fertilizer application. The seed cotton yield of both potash treatments increased with the increase of fertilizer application, and the BK4 treatment had the highest yield, but there was no significant difference with AK3, AK4 and BK3. 【Conclusion】 Considering the factors together, potassium sulfate compounded with potassium humate treatment is superior to potassium sulfate treatment alone, and BK3 treatment is the best treatment.

Key words: potassium fertilizer; cotton; dry matter; photosynthesis; yield

中图分类号: 


ISSN 1001-4330 CN 65-1097/S
邮发代号:58-18
国外代号:BM3342
主管:新疆农业科学院
主办:新疆农业科学院 新疆农业大学 新疆农学会

出版单位:《新疆农业科学》编辑部
地址:乌鲁木齐市南昌路403号新疆农业科学院
邮编:830091
电话:0991-4502046
E-mail:xjnykx-h@xaas.ac.cn


版权所有 © 《新疆农业科学》编辑部
本系统由北京玛格泰克科技发展有限公司设计开发
总访问量: 今日访问: 在线人数:
网站
微信公众号
淘宝购买
微店购买