

Xinjiang Agricultural Sciences ›› 2022, Vol. 59 ›› Issue (7): 1680-1689.DOI: 10.6048/j.issn.1001-4330.2022.07.014
• Horticultural Special Local Products·Forestry·Physiology and Biochemistry • Previous Articles Next Articles
GUO Quan1,2(
), GUO Yinshan1, GUO Xiuwu1(
)
Received:2021-10-17
Online:2022-07-20
Published:2022-08-04
Correspondence author:
GUO Xiuwu
Supported by:通讯作者:
郭修武
作者简介:郭权(1988-),男,甘肃敦煌人,农艺师,硕士,研究方向为葡萄栽培及育种,(E-mail) guoquan8803@163.com
基金资助:CLC Number:
GUO Quan, GUO Yinshan, GUO Xiuwu. Dynamic Changes of Sugar and Acid Content in Grape Fruits during Development[J]. Xinjiang Agricultural Sciences, 2022, 59(7): 1680-1689.
郭权, 郭印山, 郭修武. 葡萄果实发育过程中糖酸含量的动态变化[J]. 新疆农业科学, 2022, 59(7): 1680-1689.
Add to citation manager EndNote|Ris|BibTeX
URL: https://www.xjnykx.com/EN/10.6048/j.issn.1001-4330.2022.07.014
| 品种名称 Cultivar | 种群 Population | 倍性 Ploidy | 成熟期(沈阳地区) Ripening time | 用途 Usage |
|---|---|---|---|---|
| 维多利亚 Victoria | 欧亚杂交种 | 二倍体 | 8月中下旬 | 鲜食 |
| 红地球 Red Globe | 二倍体 | 9月下旬 | 鲜食 | |
| 藤稔 Fujiminori | 欧美杂交种 | 四倍体 | 9月上旬 | 鲜食 |
| 高妻 Takatsuma | 四倍体 | 9月中旬 | 鲜食 | |
| 北冰红 Beibinghong | 山欧杂交种 | 二倍体 | 9月中下旬 | 酿酒 |
| 左优红 Zuoyouhong | 二倍体 | 9月中下旬 | 酿酒 | |
| 双红 Shuanghong | 山葡萄 | 二倍体 | 9月中下旬 | 酿酒 |
| 双优 Shuangyou | 二倍体 | 9月中下旬 | 酿酒 |
Table 1 Description of the berries
| 品种名称 Cultivar | 种群 Population | 倍性 Ploidy | 成熟期(沈阳地区) Ripening time | 用途 Usage |
|---|---|---|---|---|
| 维多利亚 Victoria | 欧亚杂交种 | 二倍体 | 8月中下旬 | 鲜食 |
| 红地球 Red Globe | 二倍体 | 9月下旬 | 鲜食 | |
| 藤稔 Fujiminori | 欧美杂交种 | 四倍体 | 9月上旬 | 鲜食 |
| 高妻 Takatsuma | 四倍体 | 9月中旬 | 鲜食 | |
| 北冰红 Beibinghong | 山欧杂交种 | 二倍体 | 9月中下旬 | 酿酒 |
| 左优红 Zuoyouhong | 二倍体 | 9月中下旬 | 酿酒 | |
| 双红 Shuanghong | 山葡萄 | 二倍体 | 9月中下旬 | 酿酒 |
| 双优 Shuangyou | 二倍体 | 9月中下旬 | 酿酒 |
| 品种名称 Cultivar | 果实成熟期可溶性糖含量(mg/g FW)及占总糖比例 Soluble sugar content (mg/g FW) and ratio of total sugar content (%) | ||||
|---|---|---|---|---|---|
| 果糖 Fructose (mg/g FW) | 葡萄糖 Glucose (mg/g FW) | 蔗糖 Sucrose (mg/g FW) | 总糖 Total sugar (mg/g FW) | 糖酸比 Sugar/Acids (%) | |
| 维多利亚 Victoria | 67.73(47.21%) | 75.59(52.69%) | 0.13(0.09%) | 143.45 | 36.20 |
| 红地球 Red Globe | 68.34(48.88%) | 71.33(51.02%) | 0.16 (0.11%) | 139.82 | 34.69 |
| 藤稔 Fujiminori | 75.55(44.27%) | 94.87(55.60%) | 0.22(0.13%) | 170.64 | 25.82 |
| 高妻 Takatsuma | 87.03(44.21%) | 109.7(55.75%) | 0.07(0.04%) | 196.84 | 33.71 |
| 北冰红 Beibinghong | 114.34 (48.28%) | 122.21 (51.60%) | 0.20 (0.09%) | 236.82 | 25.77 |
| 左优红 Zuoyouhong | 90.59 (48.11%) | 97.44 (51.75%) | 0.19 (0.10%) | 188.28 | 20.39 |
| 双红 Shuanghong | 73.22 (49.81%) | 81.75 (52.73%) | 0.07 (0.05%) | 185.04 | 14.58 |
| 双优 Shuangyou | 96.48 (47.98%) | 104.41(51.92%) | 0.12 (0.06%) | 201.08 | 20.82 |
Table 2 Soluble sugar content in matured fruit of tested grape
| 品种名称 Cultivar | 果实成熟期可溶性糖含量(mg/g FW)及占总糖比例 Soluble sugar content (mg/g FW) and ratio of total sugar content (%) | ||||
|---|---|---|---|---|---|
| 果糖 Fructose (mg/g FW) | 葡萄糖 Glucose (mg/g FW) | 蔗糖 Sucrose (mg/g FW) | 总糖 Total sugar (mg/g FW) | 糖酸比 Sugar/Acids (%) | |
| 维多利亚 Victoria | 67.73(47.21%) | 75.59(52.69%) | 0.13(0.09%) | 143.45 | 36.20 |
| 红地球 Red Globe | 68.34(48.88%) | 71.33(51.02%) | 0.16 (0.11%) | 139.82 | 34.69 |
| 藤稔 Fujiminori | 75.55(44.27%) | 94.87(55.60%) | 0.22(0.13%) | 170.64 | 25.82 |
| 高妻 Takatsuma | 87.03(44.21%) | 109.7(55.75%) | 0.07(0.04%) | 196.84 | 33.71 |
| 北冰红 Beibinghong | 114.34 (48.28%) | 122.21 (51.60%) | 0.20 (0.09%) | 236.82 | 25.77 |
| 左优红 Zuoyouhong | 90.59 (48.11%) | 97.44 (51.75%) | 0.19 (0.10%) | 188.28 | 20.39 |
| 双红 Shuanghong | 73.22 (49.81%) | 81.75 (52.73%) | 0.07 (0.05%) | 185.04 | 14.58 |
| 双优 Shuangyou | 96.48 (47.98%) | 104.41(51.92%) | 0.12 (0.06%) | 201.08 | 20.82 |
| 品种名 Cultivar | 有机酸含量及占总酸比例 Organic acid content and ratio of total acid content | ||||
|---|---|---|---|---|---|
| 酒石酸 Tartaric acid (mg/g FW) | 苹果酸 Malic acid (mg/g FW) | 柠檬酸 Citric acid (mg/g FW) | 草酸 Oxilic acid (mg/g FW) | 总酸 Total acid (%) | |
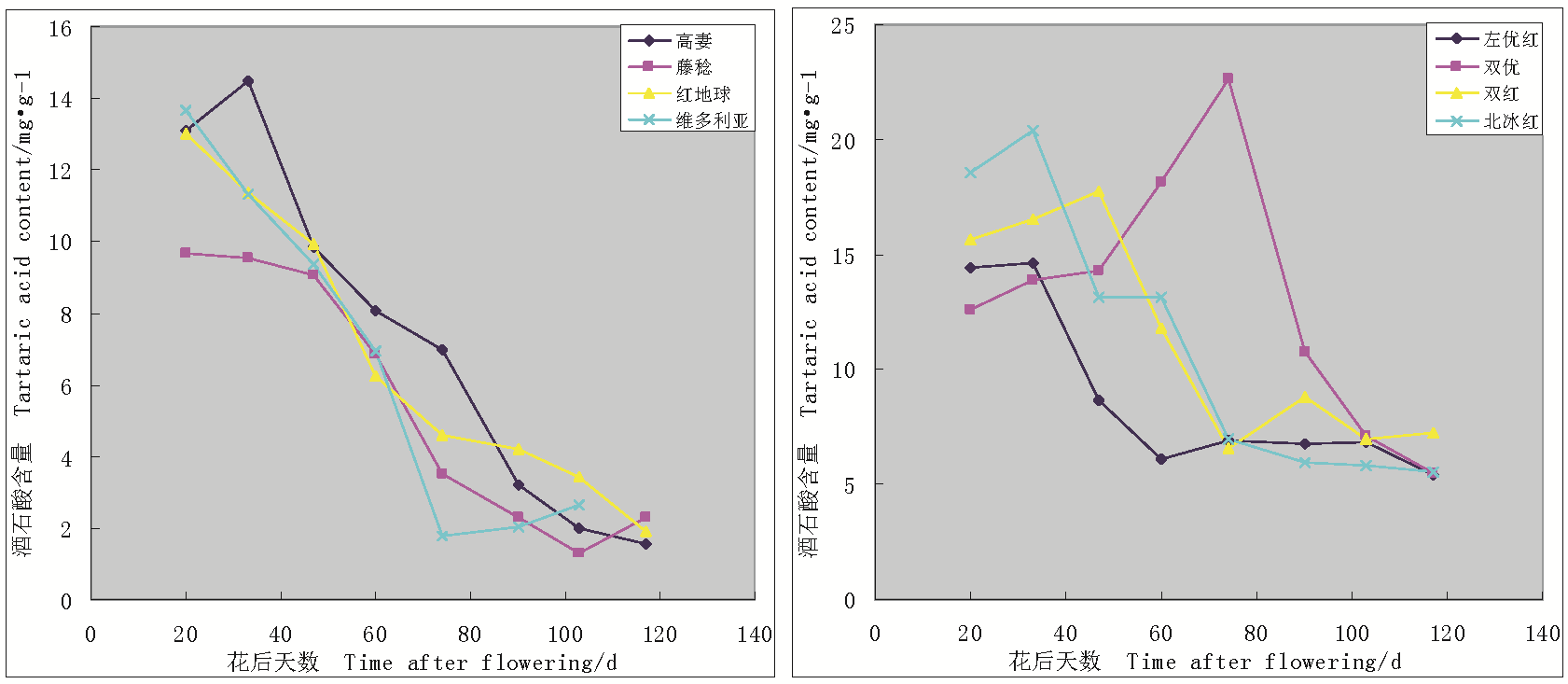
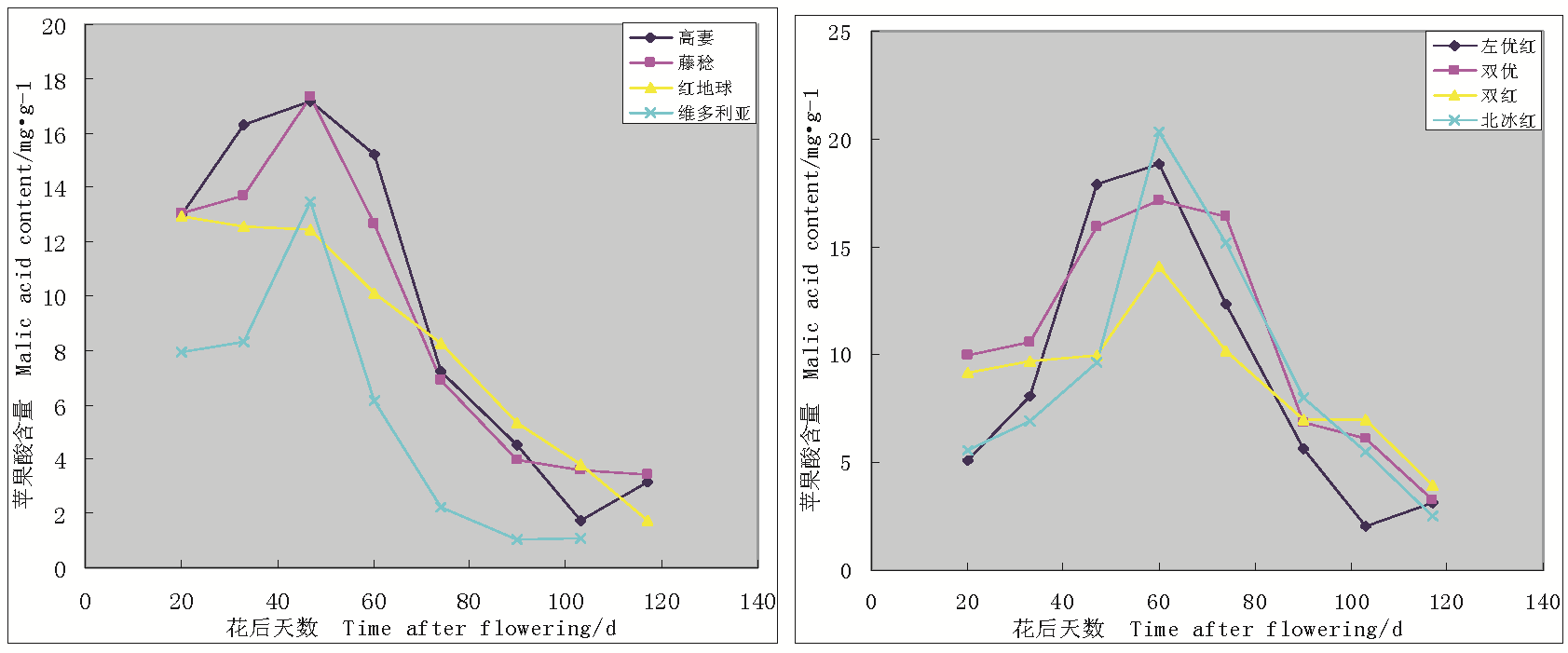
| 维多利亚 Victoria | 2.62(66.16%) | 1.08(27.27%) | 0.13(3.28%) | 0.13(3.28%) | 3.96 |
| 红地球 Red Globe | 1.91(47.39%) | 1.73(42.93%) | 0.16(3.97) | 0.23(5.71%) | 4.03 |
| 藤稔 Fujiminori | 2.30(35.17%) | 3.44(52.60%) | 0.07(1.07%) | 0.73(11.16%) | 6.54 |
| 高妻 Takatsuma | 1.55(26.54%) | 3.14(53.77%) | 0.95(16.27%) | 0.19(3.25%) | 5.84 |
| 北冰红 Beibinghong | 5.57(60.61%) | 2.50(27.20%) | 0.35(3.81%) | 0.77(8.38%) | 9.19 |
| 左优红 Zuoyouhong | 5.45(59.05%) | 3.13(33.91%) | 0.16(1.73%) | 0.49(5.31%) | 9.23 |
| 双红 Shuanghong | 7.26(57.21%) | 3.95(31.13%) | 1.14(8.98%) | 0.34(2.68%) | 12.69 |
| 双优 Shuangyou | 5.47(56.63%) | 3.26(33.74%) | 0.28(2.90%) | 0.49(5.07%) | 9.51 |
Table 3 Organic acid content and ratio in matured fruit of tested grape
| 品种名 Cultivar | 有机酸含量及占总酸比例 Organic acid content and ratio of total acid content | ||||
|---|---|---|---|---|---|
| 酒石酸 Tartaric acid (mg/g FW) | 苹果酸 Malic acid (mg/g FW) | 柠檬酸 Citric acid (mg/g FW) | 草酸 Oxilic acid (mg/g FW) | 总酸 Total acid (%) | |
| 维多利亚 Victoria | 2.62(66.16%) | 1.08(27.27%) | 0.13(3.28%) | 0.13(3.28%) | 3.96 |
| 红地球 Red Globe | 1.91(47.39%) | 1.73(42.93%) | 0.16(3.97) | 0.23(5.71%) | 4.03 |
| 藤稔 Fujiminori | 2.30(35.17%) | 3.44(52.60%) | 0.07(1.07%) | 0.73(11.16%) | 6.54 |
| 高妻 Takatsuma | 1.55(26.54%) | 3.14(53.77%) | 0.95(16.27%) | 0.19(3.25%) | 5.84 |
| 北冰红 Beibinghong | 5.57(60.61%) | 2.50(27.20%) | 0.35(3.81%) | 0.77(8.38%) | 9.19 |
| 左优红 Zuoyouhong | 5.45(59.05%) | 3.13(33.91%) | 0.16(1.73%) | 0.49(5.31%) | 9.23 |
| 双红 Shuanghong | 7.26(57.21%) | 3.95(31.13%) | 1.14(8.98%) | 0.34(2.68%) | 12.69 |
| 双优 Shuangyou | 5.47(56.63%) | 3.26(33.74%) | 0.28(2.90%) | 0.49(5.07%) | 9.51 |
| [1] | Tissues G, Davies C, Robinson S P. Sugar Accumulation in Grape Berries. The Society for Biotechnology, Japan, 1996. |
| [2] |
Dai N, German M A, Matsevitz T, et al. LeFRK2, the gene encoding the major fructokinase in tomato fruits, is not required for starch biosynthesis in developing fruits[J]. Plant Science, 2002, 162(3):423-430.
DOI URL |
| [3] | Hrazdina G, Parsons G F, Mattick L R. Physiological and Biochemical Events during Development and Maturation of Grape Berries[J]. American Journal of Enology & Viticulture, 1984, 35(4):220-227. |
| [4] | Shiraishi M. Proposed descriptors for organic acids to evaluate grape germplasm[J]. Euphytica, 1995,(81):13-20. |
| [5] | 刘有春, 陶承光, 魏永祥, 等. 越橘果实糖酸含量和不同发育阶段的变化及其与叶片中可溶性糖含量的相关关系[J]. 中国农业科学, 2013, 46(19):4110-4118. |
| LIU Youchun, TAO Chengguang, WEI Yongxiang, et al. Fruit sugar and acid content, variation at different fruit development stages and their relationship with leaf soluble sugar content of Blueberry[J]. Scientia Agricultura Sinica, 2013, 6(19): 4110-4118. | |
| [6] |
Soulis T P, Avgerinos A S. Changes in the glucose: Fructose ratio during the growth period of the razaki grape[J]. Journal of the Science of Food and Agriculture, 2010, 35(5):527-530.
DOI URL |
| [7] | Shiraishi M. Three descriptors for sugars to evaluate grape germplasm[J]. Euphytica, 1993,(71):99-106. |
| [8] | Coombe B.G. Research on development and ripening of the grape berry[J]. Am.J. Enol. Vitic, 1992,(43):101-110 |
| [9] |
Philip T, Nelson F E. A Procedure for Quantitative Estimation of Malic and Tartaric Acids of Grape Juice[J]. Journal of Food Science, 2010, 38(1):18-20.
DOI URL |
| [10] | 周晓明, 卢春生, 樊丁宇, 等. 新疆不同葡萄品种果实成熟期酸成分分析[J]. 果树学报, 2012, 29(2):188-192. |
| ZHOU Xiaoming, LU Chunsheng, FAN Dingyu, et al. Analysis on acid composition of diffe- rent grape varieties during fruit maturation in Xinjiang[J]. Journal of Fruit Science, 2012, 29(2): 188-192. | |
| [11] | Lamikanra O, Inyang I D, Leong S. Distribution and Effect of Grape Maturity on Organic Acid Content of Red Muscadine Grapes[J]. Journal of Agricultural & Food Chemistry, 1991, 43(12):3026-3028. |
| [12] |
Johnson L A, Carroll O E. Organic Acid and Sugar Contents of Scuppernong Grapes during Ripening[J]. Journal of Food Science, 2010, 38(1):21-24.
DOI URL |
| [13] | 管仲新. 红地球葡萄浆果生长发育和品质形成规律的研究[D]. 乌鲁木齐: 新疆农业大学, 2005. |
| GUAN Zhongxin. Study on growth and quality formation of Red Globe berry[D]. Urumqi: Xinjiang Agricultural University, 2005. | |
| [14] | 刘丽媛. 山葡萄糖酸积累规律及代谢调控机理研究[D]. 杨凌: 西北农林科技大学, 2016. |
| LIU Liyuan. The physiological study on the sugar and acid accumulations and metabolic regulation mechanisms of Vitis Amurensis Rupr. Grape[D]. Yangling: Northwest A&F University, 2016. | |
| [15] | 董秀丽, 陈向明. 反向高效液相色谱法测定枸杞中有机酸的含量[J]. 安徽农业科学, 2010, 38(19):9959-9960. |
| DONG Xiuli, CHEN Xiangming. Analysis of Organic Acids in Medlar by Reversed-Phase H- igh Performance Liquid Chromatography[J]. Journal of Anhui Agricultural Sciences, 2010, 38(19):9959-9960. | |
| [16] | 成冰, 张京芳, 徐宏宇, 等. 不同品种酿酒葡萄有机酸含量分析[J]. 食品科学, 2013, 34 (12):223-228. |
| CHENG Bing, ZHANG Jingfang, XU Hongyu, et al. Analysis of Organic Acid Contents in Wine Grape from Different Cultivars[J]. Food Science, 2013, 34(12):223-228. | |
| [17] | 聂继云. 果品质量安全分析技术[M]. 北京: 化学工业出版社, 2009:30-38. |
| NIE Jiyun. Fruit quality and safety analysis technology[M]. Beijing: Chemical Industry Press, 2009:30-38. | |
| [18] | 李明启. 果实生理[M]. 北京: 科学技术出版社, 1989:67-104. |
| LI Mingqi. Fruit physiology[M]. Beijing: Science and Technology Press, 1989: 67-104. | |
| [19] | 杨盛, 白牡丹, 郝国伟, 等. '玉露香'梨果实发育过程中糖、酸积累特性研究[J]. 果树学报, 2019, 36(8):1013-1019. |
| YANG Sheng, BAI Mudan, HAO Guowei, et al. Study on sugar and organic acid accumulation during fruit development in'Yuluxiang'pear[J]. Journal of Fruit Science, 2019, 36(8):1013-1019. | |
| [20] |
PanbgomR M. Relativetasteofseleetedsugasrandogranieacids[J]. Food Sci, 1963, 28:726-733.
DOI URL |
| [21] |
Liu H, Wu B, Fan P, et al. Sugar and acid concentrations in 98 grape cultivars analyzed by principal component analysis[J]. Journal of the Science of Food and Agriculture, 2006, 86(10):1526-1536.
DOI URL |
| [22] | 宋润刚, 路文鹏, 李昌禹, 等. 山葡萄种内和种间杂交后代果实成熟期遗传分析[J]. 园艺学报, 2005, 32(2): 212-217. |
| SONG Rungang, LU Wenpeng, LI Changyu, et al. Heredity Analysis of Fruit Mature Period in Progenies from and Intraspecific and Interspecific Hibridiza- tion ofVitis amurensisRupr[J]. Acta Horticulturae Sinica, 2005, 32(2):212-217. | |
| [23] | 郑丽静, 聂继云, 闫震. 糖酸组分及其对水果风味的影响研究进展[J]. 果树学报, 2015, 32(2):304-312. |
| ZHENG Lijing, NIE Jiyun, YAN Zhen. Advances in research on sugars, organic acids and their effects on taste of fruits[J]. Journal of Fruit Science, 2015, 32(2):304-312. | |
| [24] | Robert A.p., Mattick L.R. and Weirs LL.V.D.[J]. Am J Enol Vitic, 1980,(31):265-268. |
| [25] | Esteban M A, Villanueva M J, Lissarrague J R. Effect of irrigation on changes in berry composition of Tempranillo during maturation. Sugars, organic acids, and mineral elements[J]. American Journal of Enology & Viticulture, 1999, 50(4): 418-434. |
| [26] | Hadha K.L., and Shikhamany S.D. Quality Improve, in The grape, improvement, production and post-harvest management[J]. Molhotra Publishing House. New Delhi,pp, 1999,(43):343-346. |
| [27] | 赵淼. 柑橘果实有机酸代谢及调控研究[D]. 合肥: 安徽农业大学, 2008. |
| ZHAO Miao. Metabolism and Regulation of Organic Acids in Citrus Fruit[D]. Hefei: Anhui Agricultural University, 2008. | |
| [28] | 陈发兴, 刘星辉, 陈立松. 果实有机酸代谢研究进展[J]. 果树学报, 2005, 22(5):526-531. |
| CHEN Faxing, LIU Xinghui, CHEN Lisong. Advances in research on organic acid metabolism in fruits[J]. Journal of Fruit Science, 2005, 22(5):26-531. |
| [1] | JIN Juan, LI lili, YANG Lei, FAN Dingyu, HAO Qing. Analysis on the Development status of Xinjiang Jujube Industry [J]. Xinjiang Agricultural Sciences, 2024, 61(S1): 106-110. |
| [2] | ZHU Xiaofeng, XU Bingqiang, Abudukeyoumu Kadeer, LI Haiqiang, SONG Bo, CHEN Haoyu, HAO Jingzhe. The occurrence and control status of fruit tree diseases and insect pests in Xinjiang: A case study of jujube [J]. Xinjiang Agricultural Sciences, 2024, 61(S1): 116-121. |
| [3] | WANG Min, HAN Shouan, LIU Xupeng, ZHANG Wen, ZHANG Fuchun, ZHONG Haixia, WU Xinyu, PAN Mingqi. The current development status of the grape industry in Xinjiang [J]. Xinjiang Agricultural Sciences, 2024, 61(S1): 127-130. |
| [4] | SHEN Xiaohe, ZHU Zhanjiang, YANG Liling, LIU Jia, Abulizi Basiti. Current situation and development suggestions of wine grape mechanization in Xinjiang [J]. Xinjiang Agricultural Sciences, 2024, 61(S1): 147-152. |
| [5] | WANG Xiang, DAI Junsheng. Analysis and driving factors of structure layout of forest and fruit industry in Tarim River Basin [J]. Xinjiang Agricultural Sciences, 2024, 61(S1): 227-231. |
| [6] | LI Jie, LIU Jia, WANG Liang, ZHANG Na, YANG Yanlong, ZHENG Zipiao, WEI Xin, WANG Meng, ZHOU Zixin, YANG Ni, GONG Zhaolong, HOU Xianfei, HUANG Qixiu, Abudukadier kuerban, ZHANG Jipeng, CHANG Pengzhong. Current situation of transformation and application of scientific and technological achievements of "cotton, oil and sugar" [J]. Xinjiang Agricultural Sciences, 2024, 61(S1): 89-94. |
| [7] | CHEN Ruijie, LUO Linyi, RUAN Xiangyang, YE Jun. Effects of humic acid on soil nutrients, cotton yield and quality in cotton fields under drip irrigation [J]. Xinjiang Agricultural Sciences, 2024, 61(9): 2112-2121. |
| [8] | ZENG Wanying, GENG Hongwei, CHENG Yukun, LI Sizhong, QIAN Songting, GAO Weishi, ZHANG Liming. Comprehensive evaluation of drought resistance during the rapid growth stage of sugar beet cultivars [J]. Xinjiang Agricultural Sciences, 2024, 61(9): 2140-2151. |
| [9] | TIAN Haiyan, ZHANG Zhanqin, XIE Jianhui, WANG Jianjiang, YANG Xiangkun. Study on the relationship between Lycopene and main quality characters of processing tomato [J]. Xinjiang Agricultural Sciences, 2024, 61(9): 2197-2202. |
| [10] | CHEN Fang, LI Zihui, SUNXiaogui , ZHANG Tingjun. Different dosage of microbial agents on the yield and quality of processed tomatoes [J]. Xinjiang Agricultural Sciences, 2024, 61(9): 2285-2289. |
| [11] | WANG Haozhong, LIN Qing, ZENG Jun, GAO Yan, ZHAO Yanhui, SHI Hongling, MA Guijun, MA Zhenghai, LOU Kai, HUO Xiangdong. Screening of phytase producing probiotic lactic acid bacteria [J]. Xinjiang Agricultural Sciences, 2024, 61(9): 2290-2298. |
| [12] | HU Huabing, SUN Linlin, LIU Jianxiong, HE Biwei, LIU Xun, HUAN Tin, LI Youfang. Correlation analysis of sugar accumulation and temperature in sugar beet under drip irrigation [J]. Xinjiang Agricultural Sciences, 2024, 61(8): 1916-1925. |
| [13] | YANG Caixia, GU Wei, GUAN Yuan, QU Jingtao, DANG Dongdong, WU Penghao, ZHENG Hongjian. Variation analysis of sweetness gene Sugary1 (Su1) sequence in Sweet corn [J]. Xinjiang Agricultural Sciences, 2024, 61(7): 1605-1614. |
| [14] | ZHONG Huili, WU Jun, LU Xiangsheng. Effects of different growth stage application combinations of amendments on secondary salinized soil properties and sweet corn yield in Hexi Corrido [J]. Xinjiang Agricultural Sciences, 2024, 61(7): 1615-1625. |
| [15] | LU Weidan, ZHOU Yuanhang, MA Xiaolong, GAO Jianglong, FAN Xiaoqin, GUO Jianfu, LI Jianqiang, LIN Ming. Effects of replacing chemical fertilizer with organic fertilizer in different proportions and plant nutrients and sugar beet yield [J]. Xinjiang Agricultural Sciences, 2024, 61(7): 1631-1639. |
| Viewed | ||||||
|
Full text |
|
|||||
|
Abstract |
|
|||||