

Xinjiang Agricultural Sciences ›› 2022, Vol. 59 ›› Issue (1): 113-121.DOI: 10.6048/j.issn.1001-4330.2022.01.014
• Horticultural Special Local Products·Plant Protection·Physiology and Biochemistry • Previous Articles Next Articles
ZHONG Haixia1(
), XIAN He2, WU Jiuyun3, ZHANG Fuchun1(
), DING Xiang1, ZHAO Laipeng1, PAN Mingqi1(
), HU Xin1, ZHOU Xiaoming1, QIAO Jiangxia1, WU Xinyu1
Received:2020-10-09
Online:2022-01-20
Published:2022-02-18
Correspondence author:
ZHANG Fuchun, PAN Mingqi
Supported by:
钟海霞1(
), 仙鹤2, 吴久赟3, 张付春1(
), 丁祥1, 赵来鹏1, 潘明启1(
), 胡鑫1, 周晓明1, 乔江霞1, 伍新宇1
通讯作者:
张付春,潘明启
作者简介:钟海霞(1988-),女,河南人,副研究员,硕士,研究方向为葡萄栽培生理与品质调控,(E-mail) zhonghaixia1@sina.cn
基金资助:CLC Number:
ZHONG Haixia, XIAN He, WU Jiuyun, ZHANG Fuchun, DING Xiang, ZHAO Laipeng, PAN Mingqi, HU Xin, ZHOU Xiaoming, QIAO Jiangxia, WU Xinyu. Effects of Different Rootstocks on Photosynthetic Efficiency of Grape Leaves in Crimson Seedless Grape[J]. Xinjiang Agricultural Sciences, 2022, 59(1): 113-121.
钟海霞, 仙鹤, 吴久赟, 张付春, 丁祥, 赵来鹏, 潘明启, 胡鑫, 周晓明, 乔江霞, 伍新宇. 不同砧木对克瑞森无核葡萄叶片光合光效的影响[J]. 新疆农业科学, 2022, 59(1): 113-121.
Add to citation manager EndNote|Ris|BibTeX
URL: https://www.xjnykx.com/EN/10.6048/j.issn.1001-4330.2022.01.014
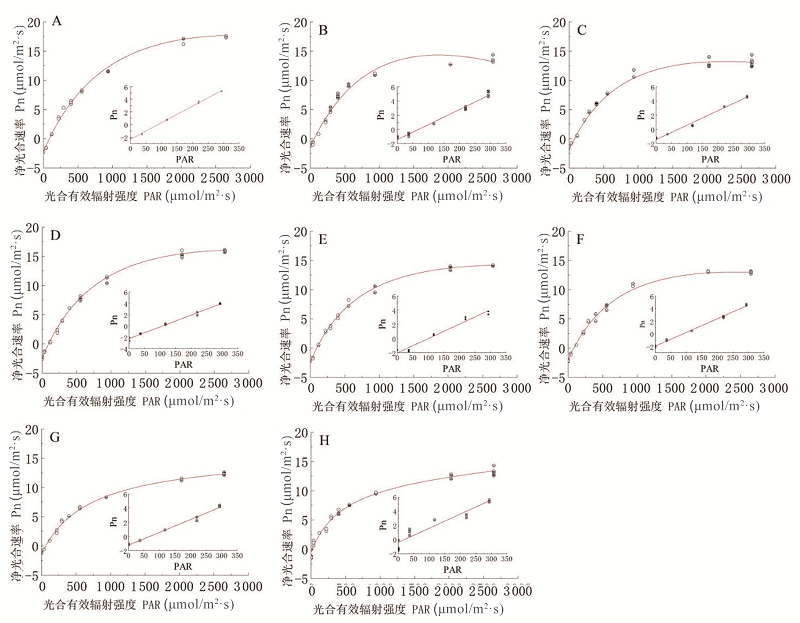
Fig.2 Linear fitting of net photosynthetic rate to photosynthetically active radiation intensity and nonlinear fitting under low light intensity Note: A: Crimson Seedless/5BB; B: Crimson Seedless/Beta; C: Crimson Seedless/5C; D:Crimson Seedless/101-14MG; E: Crimson Seedless/110R; F: Crimson Seedless/SO4; G: Crimson Seedless/188-08; H: Crimson Seedless Self-rooted.(the same as below)
| 处理 Treatment | 函数方程 Function Pn(I)=α | R2 | 模型中各参数的标准误 Standard error of each parameter in the model | |||
|---|---|---|---|---|---|---|
| 参数α | 参数β | 参数γ | 参数Rd | |||
| 克瑞森无核/5BB Crimson Seedless/5BB | y=0.027 75 | 0.999 | 2.78×10-2 | 8.81×10-5 | 6.92×10-4 | 2.195 |
| 克瑞森无核/贝达 Crimson Seedless/Beta | y=0.025 86 | 0.985 | 2.59×10-2 | 1.75×10-4 | 5.74×10-4 | 1.334 |
| 克瑞森无核/5C Crimson Seedless/5C | y=0.026 81 | 0.994 | 2.68×10-2 | 1.09×10-4 | 8.88×10-4 | 1.928 |
| 克瑞森无核/101-14MG Crimson Seedless/101-14MG | y=0.029 15 | 0.998 | 2.92×10-2 | 7.37×10-5 | 8.89×10-4 | 2.513 |
| 克瑞森无核/110R Crimson Seedless/110R | y=0.028 67 | 0.996 | 2.87×10-2 | 6.53×10-5 | 1.06×10-3 | 2.367 |
| 克瑞森无核/SO4 Crimson Seedless/SO4 | y=0.02658 | 0.995 | 2.66×10-2 | 9.32×10-5 | 9.63×10-4 | 1.941 |
| 克瑞森无核/188-08 Crimson Seedless/188-08 | y=0.024 97 | 0.996 | 2.50×10-2 | -7.66×10-6 | 1.49×10-3 | 1.364 |
| 克瑞森无核自根苗 Crimson seedless self-rooted | y=0.030 47 | 0.987 | 3.05×10-2 | -5.98×10-5 | 2.18×10-3 | 0.444 |
Table 1 Function of net photosynthetic rate response to light intensity fit by rectangular hyperbolic correction model
| 处理 Treatment | 函数方程 Function Pn(I)=α | R2 | 模型中各参数的标准误 Standard error of each parameter in the model | |||
|---|---|---|---|---|---|---|
| 参数α | 参数β | 参数γ | 参数Rd | |||
| 克瑞森无核/5BB Crimson Seedless/5BB | y=0.027 75 | 0.999 | 2.78×10-2 | 8.81×10-5 | 6.92×10-4 | 2.195 |
| 克瑞森无核/贝达 Crimson Seedless/Beta | y=0.025 86 | 0.985 | 2.59×10-2 | 1.75×10-4 | 5.74×10-4 | 1.334 |
| 克瑞森无核/5C Crimson Seedless/5C | y=0.026 81 | 0.994 | 2.68×10-2 | 1.09×10-4 | 8.88×10-4 | 1.928 |
| 克瑞森无核/101-14MG Crimson Seedless/101-14MG | y=0.029 15 | 0.998 | 2.92×10-2 | 7.37×10-5 | 8.89×10-4 | 2.513 |
| 克瑞森无核/110R Crimson Seedless/110R | y=0.028 67 | 0.996 | 2.87×10-2 | 6.53×10-5 | 1.06×10-3 | 2.367 |
| 克瑞森无核/SO4 Crimson Seedless/SO4 | y=0.02658 | 0.995 | 2.66×10-2 | 9.32×10-5 | 9.63×10-4 | 1.941 |
| 克瑞森无核/188-08 Crimson Seedless/188-08 | y=0.024 97 | 0.996 | 2.50×10-2 | -7.66×10-6 | 1.49×10-3 | 1.364 |
| 克瑞森无核自根苗 Crimson seedless self-rooted | y=0.030 47 | 0.987 | 3.05×10-2 | -5.98×10-5 | 2.18×10-3 | 0.444 |
| 光响应参数 Photoresponse parameters | 5BB | 贝达 Beta | 5C | 101-14MG | 110R | SO4 | 188-08 | 克瑞森无核 自根苗 Crimson seedless self-rooted |
|---|---|---|---|---|---|---|---|---|
| 饱和光强 Saturation light Im (μmol/(m2·s)) | 2650.00 | 1856.85 | 2273.32 | 2650.00 | 2650.00 | 2456.35 | 2650.00 | 2650.00 |
| 光补偿点 Light compensation point Ic (μmol/(m2·s)) | 84.88 | 55.71 | 79.58 | 95.49 | 92.84 | 79.58 | 61.01 | 45.92 |
| 光较差 Range of light intensity of photosynthesis LIR (μmol/(m2·s)) | 2565.12 | 1801.15 | 2193.74 | 2554.51 | 2557.16 | 2376.78 | 2588.99 | 2634.08 |
| 最大净光合速率 Maximum net photosynthetic Pnmax (μmol/(m2·s)) | 17.68 | 14.34 | 13.23 | 16.01 | 14.18 | 13.02 | 12.31 | 13.39 |
| 内禀量子效率 Intrinsic quantum efficiency IQE | 0.028 | 0.026 | 0.027 | 0.029 | 0.029 | 0.027 | 0.025 | 0.03 |
| 表观量子产额 Apparent quantum yield AQY | 0.024 | 0.024 | 0.023 | 0.024 | 0.023 | 0.023 | 0.021 | 0.09 |
| 暗呼吸速率 Dark respiration rate Rd (μmol/(m2·s)) | 2.19 | 1.33 | 1.92 | 2.51 | 2.36 | 1.94 | 1.36 | 0.44 |
Table 2 Photoresponse parameters of different rootstocks of Crimson seedless grafting
| 光响应参数 Photoresponse parameters | 5BB | 贝达 Beta | 5C | 101-14MG | 110R | SO4 | 188-08 | 克瑞森无核 自根苗 Crimson seedless self-rooted |
|---|---|---|---|---|---|---|---|---|
| 饱和光强 Saturation light Im (μmol/(m2·s)) | 2650.00 | 1856.85 | 2273.32 | 2650.00 | 2650.00 | 2456.35 | 2650.00 | 2650.00 |
| 光补偿点 Light compensation point Ic (μmol/(m2·s)) | 84.88 | 55.71 | 79.58 | 95.49 | 92.84 | 79.58 | 61.01 | 45.92 |
| 光较差 Range of light intensity of photosynthesis LIR (μmol/(m2·s)) | 2565.12 | 1801.15 | 2193.74 | 2554.51 | 2557.16 | 2376.78 | 2588.99 | 2634.08 |
| 最大净光合速率 Maximum net photosynthetic Pnmax (μmol/(m2·s)) | 17.68 | 14.34 | 13.23 | 16.01 | 14.18 | 13.02 | 12.31 | 13.39 |
| 内禀量子效率 Intrinsic quantum efficiency IQE | 0.028 | 0.026 | 0.027 | 0.029 | 0.029 | 0.027 | 0.025 | 0.03 |
| 表观量子产额 Apparent quantum yield AQY | 0.024 | 0.024 | 0.023 | 0.024 | 0.023 | 0.023 | 0.021 | 0.09 |
| 暗呼吸速率 Dark respiration rate Rd (μmol/(m2·s)) | 2.19 | 1.33 | 1.92 | 2.51 | 2.36 | 1.94 | 1.36 | 0.44 |
Fig.3 Light response curve of light energy utilization fitted by Freundlich model Note: A: Crimson Seedless/5BB; B: Crimson Seedless/Beta; C: Crimson Seedless/5C; D:Crimson Seedless/101-14MG; E: Crimson Seedless/110R; F: Crimson Seedless/SO4; G: Crimson Seedless/188-08; H: Crimson Seedless Self-root
| 处理 Treatment | 光能利用率升速 Rising velocity of LUE y'r | 光能利用率降速 Falling velocity of LUE y'f | 最大光能 利用率 Maximum LUE LUEmax | 高效光强 Most efficient PAR PARme (μmol/(m2·s)) | 光能利用 指数 Light energy utilization index |
|---|---|---|---|---|---|
| 克瑞森无核/5BB Crimson Seedless/5BB | 2.34×10-5±8.99×10-7 | -4.82×10-6±2.93×10-8 | 0.016 | 413.658 | 9.53×10-5 |
| 克瑞森无核/贝达 Crimson Seedless/Beta | 3.13×10-5±1.09×10-6 | -5.90×10-6±4.33×10-8 | 0.017 | 421.264 | 7.53×10-5 |
| 克瑞森无核/5C Crimson Seedless/5C | 2.68×10-5±9.48×10-7 | -5.12×10-6±3.42×10-8 | 0.016 | 421.264 | 9.43×10-5 |
| 克瑞森无核/101-14MG Crimson Seedless/101-14MG | 2.41×10-5±7.01×10-7 | -4.56×10-6±2.19×10-8 | 0.015 | 535.363 | 6.32×10-5 |
| 克瑞森无核/110R Crimson Seedless/110R | 2.05×10-5±6.86×10-7 | -4.12×10-6±2.09×10-8 | 0.014 | 489.724 | 6.38×10-5 |
| 克瑞森无核/SO4 Crimson Seedless/SO4 | 2.37×10-5±8.12×10-7 | -4.68×10-6±2.82×10-8 | 0.014 | 454.226 | 7.16×10-5 |
| 克瑞森无核/188-08 Crimson Seedless/188-08 | 1.77×10-5±7.16×10-7 | -3.53×10-6±2.32×10-8 | 0.012 | 360.411 | 8.19×10-5 |
| 克瑞森无核自根苗 Crimson seedless self-rooted | 6.06×10-5±1.79×10-5 | -4.85×10-6±4.17×10-8 | 0.017 | 266.216 | 2.29×10-4 |
Table 3 Parameter of Light energy utilization ratio response to light intensity based on the Freundlich model
| 处理 Treatment | 光能利用率升速 Rising velocity of LUE y'r | 光能利用率降速 Falling velocity of LUE y'f | 最大光能 利用率 Maximum LUE LUEmax | 高效光强 Most efficient PAR PARme (μmol/(m2·s)) | 光能利用 指数 Light energy utilization index |
|---|---|---|---|---|---|
| 克瑞森无核/5BB Crimson Seedless/5BB | 2.34×10-5±8.99×10-7 | -4.82×10-6±2.93×10-8 | 0.016 | 413.658 | 9.53×10-5 |
| 克瑞森无核/贝达 Crimson Seedless/Beta | 3.13×10-5±1.09×10-6 | -5.90×10-6±4.33×10-8 | 0.017 | 421.264 | 7.53×10-5 |
| 克瑞森无核/5C Crimson Seedless/5C | 2.68×10-5±9.48×10-7 | -5.12×10-6±3.42×10-8 | 0.016 | 421.264 | 9.43×10-5 |
| 克瑞森无核/101-14MG Crimson Seedless/101-14MG | 2.41×10-5±7.01×10-7 | -4.56×10-6±2.19×10-8 | 0.015 | 535.363 | 6.32×10-5 |
| 克瑞森无核/110R Crimson Seedless/110R | 2.05×10-5±6.86×10-7 | -4.12×10-6±2.09×10-8 | 0.014 | 489.724 | 6.38×10-5 |
| 克瑞森无核/SO4 Crimson Seedless/SO4 | 2.37×10-5±8.12×10-7 | -4.68×10-6±2.82×10-8 | 0.014 | 454.226 | 7.16×10-5 |
| 克瑞森无核/188-08 Crimson Seedless/188-08 | 1.77×10-5±7.16×10-7 | -3.53×10-6±2.32×10-8 | 0.012 | 360.411 | 8.19×10-5 |
| 克瑞森无核自根苗 Crimson seedless self-rooted | 6.06×10-5±1.79×10-5 | -4.85×10-6±4.17×10-8 | 0.017 | 266.216 | 2.29×10-4 |
| [1] | 新疆维吾尔自治区统计局. 新疆统计年鉴[J]. 北京, 中国统计出版社, 2019: 397-398. |
| Statistic Bureau of Xinjiang Uygur Autonomous Region. Xinjiang statistical yearbook[J]. Beijing, China Statistics Press, 2019:397-398. | |
| [2] | 马惠兰, 李旭. 新疆葡萄产业化发展现状及对策建议[J]. 新疆林业, 2010,(6):27-29, 40. |
| MA Huilan, LI Xu. Current situation and countermeasures of grape industrialization in Xinjiang[J]. Forestry of Xinjiang, 2010,(6):27-29, 40. | |
| [3] | Ben-Asher J, Tsuyuki I, Ben-Ami B, Moshe S. Irrigation of grapevines with saline water I. leaf photosynjournal[J]. Agricultural Water Management, 2006, (83):13-21. |
| [4] | 綦伟, 翟衡, 厉恩茂, 等. 部分根区干旱对不同砧木嫁接葡萄光合作用的影响[J]. 园艺学报, 2007,(5):1081-1086. |
| QI Wei, ZHAI Heng, LI Enmao, et al. Effects of partial rootzone drying on photosynjournal of the grape cultivar malvasia grafted on different rootstocks[J]. Acta Horticulturae Sinica, 2007, 34(5):1081-1086. | |
| [5] | 范宗民, 孙军利, 赵宝龙, 等. 不同砧木‘赤霞珠’葡萄枝条抗寒性比较[J]. 果树学报, 2020, 37(2):215-225. |
| FAN Zongming, SUN Junli, ZHAO Baolong, et al. Comparison of cold resistance of grape branches of different rootstocks' cabernet sauvignon '[J]. Journal of Fruit Science, 2020, 37(2):215-225. | |
| [6] | 李双岑, 胡宏远, 王振平. 不同砧木对1年生霞多丽葡萄生长和光合特性的影响[J]. 江苏农业科学, 2016, 44(10):213-215. |
| LI Shuangcen, HU Hongyuan, WANG Zhenping. Effects of different rootstocks on growth and photosynthetic characteristics of 1-year Chardonnay grape[J]. Jiangsu Agricultural Sciences, 2016, 44(10):213-215. | |
| [7] | 张付春, 伍新宇, 潘明启, 等. 帕米尔高原非耕地设施延晚栽培葡萄的光响应特征[J]. 果树学报. 2015, 32(4):597-603. |
| ZHANG Fuchun, WU Xinyu, PAN Mingqi, et al. Light response characteristics of late cultivated grapes in non-cultivated facilities in Pamir Plateau[J]. Journal of Fruit Science. 2015, 32(4):597-603. | |
| [8] | 伍新宇, 张付春, 潘明启, 等. 帕米尔高原葡萄延晚栽培光合作用日变化特征[J]. 新疆农业科学, 2014, 51(6):1106-1111. |
| WU Xinyu, ZHANG Fuchun, PAN Mingqi, et al. Diurnal variation characteristics of photosynjournal in late cultivation of Grape in Pamir Plateau[J]. Xinjiang Agricultural Sciences, 2014, 51(6):1106-1111. | |
| [9] | 叶子飘, 康华靖. 植物光响应修正模型中系数的生物学意义研究[J]. 扬州大学学报(农业与生命科学版), 2012,(6): 2:51-57. |
| YE Zipiao, KANG Huajing. Biological significance of coefficients in plant light response modified models[J]. Journal of Yangzhou University, 2012,(6): 2:51-57. | |
| [10] | 龙芳, 邹瑜, 何海旺, 等. 不同品种两性花毛葡萄光合性能的研究[J]. 种子, 2019, 38(12):20-24, 29. |
| LONG Fang, ZOU Yu, HE Haiwang, et al. Study on photosynthetic performance of different species of Bisexual Grapevine[J]. Seed, 2019, 38(12):20-24, 29. | |
| [11] | Heidari A, Bandehagh A, Toorchi M. Effects of NaCl Stress on Chlorophyll Content and Chlorophyll Fluorescence in Sunflower (Helianthus annuus L.) Lines[J]. Yüzüncü Yl University Journal of Agricultural ences, 2014, 1837(8):1338-1349. |
| [12] | Wang D, Shannon M C, Grieve C M. Salinity reduces radiation absorption and use efficiency in soybean[J]. Field Cropsres, 2001, 69(3):267-277. |
| [13] | Higbie S M, Wang F, Stewart J M, et al. Physiological response to salt (NaCl) stress in selected cultivated tetraploid cottons[J]. Int. J. Agron., 2010:1-12. |
| [14] | 杜希东, 郝俊青, 张艳萍. 接穗的不同处理对葡萄嫁接成活率及生长量的影响[J]. 林业科技通讯, 2020,(3):75-76. |
| DU Xidong, HAO Junqin, ZHANG Yanping. Effects of different treatments of scion on survival rate and growth of grape grafting[J]. Forest Science and Technology, 2020,(3):75-76. | |
| [15] | 许大全. 光合作用效率[J]. 植物生理学通讯, 1988,(5):1-7. |
| XU Daquan. Photosynthetic Efficiency[J]. Plant Physiology Communications, 1998,(5):1-7. | |
| [16] |
户金鸽, 白世践, 陈光, 等. 不同砧木对赤霞珠葡萄叶片光合特性及果实品质的影响[J]. 新疆农业科学, 2020, 57(5):830-839.
DOI |
|
HU Jinge, BAI Shijian, CHEN Guang, et al. Effects of different rootstocks on photosynthetic characteristics and fruit quality of cabernet sauvignon grape[J]. Xinjiang Agricultural Sciences, 2020, 57(5):830-839.
DOI |
|
| [17] | 李敏敏, 袁军伟, 刘长江, 等. 8个砧木对河北昌黎产区‘马瑟兰’葡萄生长和果实品质的影响[J]. 西北农业学报, 2017, 26(5):745-751. |
| LI Minmin, YUAN Junwei, LIU Changjiang, et al. Effects of 8 rootstocks on growth and fruit quality of 'marselan' grape in Changli, He Bei[J]. Acta Agriculturae Boreali-occidentalis Sinica, 2017, 26(5):745-751. | |
| [18] | 陈继峰. 葡萄砧木品种的研究现状与展望[J]. 果树学报, 2000,(2):138-146. |
| CHEN Jifeng. Research Status and Prospect of Grape Rootstock varieties[J]. Journal of Fruit Science, 2000,(2):138-146. | |
| [19] | 张庆费, 夏檑, 钱又宇. 城市绿化植物耐荫性的诊断指标体系及其应用[J]. 中国园林, 2000,(6):93-95. |
| ZHANG Qinfei, XIA Lei, QIAN Youyu. Diagnostic indicator system for shade tolerance in urban green plants and its application[J]. Chinese Landscape Architecture, 2000,(6):93-95. | |
| [20] |
韩晓, 王海波, 王孝娣, 等. 基于4种光响应模型模拟不同砧木对夏黑葡萄耐弱光能力的影响[J]. 应用生态学报, 2017, 28(10):3323-3330.
PMID |
|
HAN Xiao, WANG Haibo, WANG Xiaodi, et al. Effect of different rootstocks on low light resistance of Xia Hei grape based on four light response models[J]. Chinese Journal of Applied Ecology, 2017, 28(10):3323-3330.
DOI PMID |
|
| [21] | 孙聪, 李连国, 刘勇翔, 等. 干旱胁迫下不同砧木对酿酒葡萄‘Syrah’光合作用影响[J]. 北方园艺, 2019,(10):44-50. |
| SUN Cong, LI Lianguo, LIU Yongxiang, et al. Effects of different rootstocks on photosynjournal of wine grape ‘Syrah’ under drought stress[J]. Northern Horticulture, 2019,(10):44-50. |
| [1] | LI Yongtai, GAO Axiang, LI Yanjun, ZHANG Xinyu. Effects of defoliants on the physiological characteristics of cotton varieties with different sensitivities [J]. Xinjiang Agricultural Sciences, 2024, 61(9): 2094-2102. |
| [2] | Paziliye Ahemati, WANG Xinyong, ZHOU Yan, SONG Bin, Yusuf Abulitifu. Effects of microbial inoculants on physiological and photosynthetic characteristics of walnut leaves [J]. Xinjiang Agricultural Sciences, 2024, 61(9): 2299-2306. |
| [3] | LI Suocheng, LIU Yantao, DONG Hongye, SUN Zhenbo, LI Ziwei, ZHANG Chunyuan, WANG Kaiyong, LI Qiang, YANG Mingfeng. Effects of potassium nutrition on photosynthetic characteristics and yield of peanut [J]. Xinjiang Agricultural Sciences, 2024, 61(8): 1926-1936. |
| [4] | ZHANG Hao, LIANG Qigan, ZHANG Xuejun, FU Xiaofa, CHEN Jihao, ZHOU Bo, HUANG Yuan. The resistance analysis of Cucumis metuliferus and its effect of grafting on melon quality [J]. Xinjiang Agricultural Sciences, 2024, 61(8): 1963-1968. |
| [5] | LI Ruyong, REN Jiuming, LEI Ting, WANG Kelin, LIU Pengcheng, LI Jiangtao. Differences in carbon sink estimation between photosynthetic and biomass methods in the Tarim Desert Highway shelterbelt [J]. Xinjiang Agricultural Sciences, 2024, 61(8): 2014-2022. |
| [6] | ZHANG Yijia, CHENG Ping, WANG Lei, WU Sheng li. Effects of different irrigation rates on physiological characteristics, yield and quality of dwarfed close-planted apple trees [J]. Xinjiang Agricultural Sciences, 2024, 61(5): 1140-1150. |
| [7] | WU Gang, TIAN Yangqing, ZHAO Qiang, LI Xinxin, Munire Abudulaini, ZHANG Jiahao, WANG Wenqing, ZHAN Dongxia, MA Chunmei. Influence of different promoters compounded with DPC on the spatial and temporal distribution of cotton boll and yield [J]. Xinjiang Agricultural Sciences, 2024, 61(2): 279-287. |
| [8] | MAO Tingyong, LIU Chan, YANG Beifang, LI Yabing, ZHOU Yun, WANG Dong, CHEN Guodong, WAN Sumei. Response characteristics of source and sink organs of drip irrigation cotton to chemical topping [J]. Xinjiang Agricultural Sciences, 2024, 61(2): 288-299. |
| [9] | Zaituniguli Kuerban, Tuerxun Tuerhong, Yisilayi Dawuti, WANG Hui, ZHOU Dawei. Effects of different nitrogen fertilizer topdressing methods on photosynthetic characteristics and yield of sweet sorghum [J]. Xinjiang Agricultural Sciences, 2024, 61(2): 326-335. |
| [10] | ZHENG Tianxiang, ZHANG Mingming, LEI Yuming, WANG Nannan, WANG Lijuan. Effects of Urtica laetevirens extracts on the growth and photosynthetic properties of wheat seedling [J]. Xinjiang Agricultural Sciences, 2024, 61(2): 505-513. |
| [11] | MA Yuejun, TAN Zhanming, CHENG Yunxia, WU Hui, ZHANG Qiaoqiao, DU Jiageng, WANG Qi, CUI Hewei, MA Xing. Effects of different matrix ratios and anvil combinations on cucumber growth and development [J]. Xinjiang Agricultural Sciences, 2024, 61(11): 2635-2647. |
| [12] | LIU Huifang, WANG Qiang, HAN Hongwei, ZHUANG Hongmei, WANG Hao, CHANG Yanan. Effects of salt, alkali and complex salt alkali stress on the photosynthetic characteristics and antioxidant enzyme activity of tomato seedlings [J]. Xinjiang Agricultural Sciences, 2024, 61(11): 2658-2666. |
| [13] | ZHAO Wenxuan, CHENG Yunxia, TAN Zhanming, LI Chunyu, SHU Sheng, Ayimaimu Shawuti, YANG Liyu, MIAO Xianjun. Comparison of chlorophyll fluorescence and photosynthetic characteristics of different processed tomato varieties based on principal component analysis [J]. Xinjiang Agricultural Sciences, 2024, 61(11): 2667-2675. |
| [14] | YU Qiuhong, XU Panyun, GUO Chunmiao, Dilixiati Hasimu, Mubareke Ayoupu. Relationship between the anatomical structure of xylem and embolization characteristics of drought tolerant rootstocks of almond [J]. Xinjiang Agricultural Sciences, 2024, 61(11): 2693-2704. |
| [15] | WANG Xiaoyu, WANG Xiaoping, SHI Wenyu, LIU Meiyan, MA Jian, GUO Yunpeng, SONG Ruixin, WANG Qingtao. Responses of photosynthetic characteristics, dry matter accumulation and yield to drought stress in winter wheat at jointing stage [J]. Xinjiang Agricultural Sciences, 2023, 60(9): 2163-2172. |
| Viewed | ||||||
|
Full text |
|
|||||
|
Abstract |
|
|||||