新疆农业科学 ›› 2025, Vol. 62 ›› Issue (6): 1431-1441.DOI: 10.6048/j.issn.1001-4330.2025.06.015

• 园艺特产·农产品加工工程 • 上一篇    下一篇

园艺地布覆盖宽度对枣园土壤温度、水分、生长与产量的影响

李旭斌1(), 赵秀杰2, 吕廷波1(), 宋仁友1, 付鑫法1   

  1. 1.石河子大学水利建筑工程学院/现代节水灌溉兵团重点实验室,新疆石河子 832000
    2.新疆生产建设兵团第十四师水文水资源管理中心,新疆昆玉 848000
  • 收稿日期:2024-11-05 出版日期:2025-06-20 发布日期:2025-07-29
  • 通信作者: 吕廷波(1978-),男,山东临朐人,教授,硕士生导师,研究方向为节水灌溉,(E-mail)lvtingbo@126.com
  • 作者简介:李旭斌(1996-),男,广东揭西人,硕士研究生,研究方向为节水灌溉,(E-mail)764473086@qq.com
  • 基金资助:
    新疆生产建设兵团节水灌溉试验计划项目(BTJSSY-202306)

Effects of different widths of horticultural ground cover on soil temperature, moisture and growth in jujube orchards

LI Xubin1(), ZHAO Xiujie2, LYU Tingbo1(), SONG Renyou1, FU Xinfa1   

  1. 1. College of Water Conservancy & Architectural Engineering,Shihezi University/Key Laboratory of Modern Water-Saving Irrigation of Xinjiang Production & Construction Group,Shihezi University,Shihezi Xinjiang 832000, China
    2. Hydrology and Water Resources Management Center of the 14th Division of Xinjinang Production and Construction Corps,Kunyu Xinjiang 848000, China
  • Received:2024-11-05 Published:2025-06-20 Online:2025-07-29
  • Supported by:
    Production and construction crops water-saving irrigation pilot program project(BTJSSY-202306)

摘要:

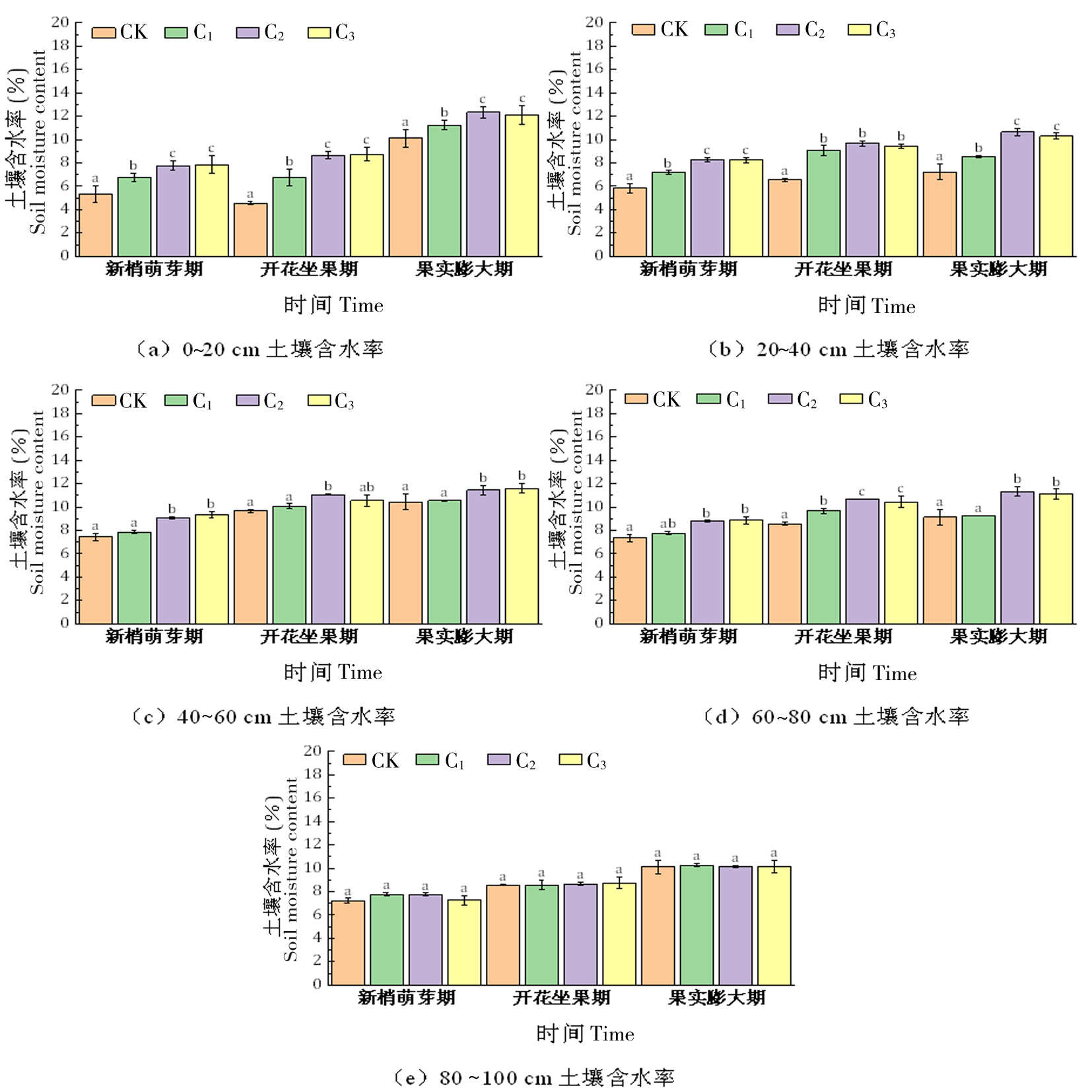
【目的】探究不同宽度地布覆盖模式对新疆和田地区枣树的影响。【方法】以新疆和田地区成龄骏枣为研究对象,分别设计3种不同宽度地布覆盖枣园与不铺设地布的对照组相比,研究其对枣园土壤温度、土壤水分和枣树生长的影响。【结果】(1)在枣园进行不同处理均对土壤温度产生了增温效果;不同宽度地布处理的各层地温均有所增加,但随着深度的增加气温对土壤温度的影响越小;(2)3种地布覆盖均有一定的保墒效果,与CK相比,C3的保水效果较好。(3)不同宽度地布覆盖均能有利于枣树的生长,新梢长度表现为C2>C3>C1>CK;枣吊长度表现为C3>C2>C1>CK;在产量方面,C1、C2和C3处理的产量分别比CK处理增加了6.34%、17.74%和18.44%。(4)C2处理最优,C3处理次之。【结论】园艺地布应用于枣园覆盖,可以改善土壤温度和提高含水率,对土壤具有较好的保墒作用,促进了枣树的生长及产量。

关键词: 枣树; 地布覆盖; 土壤温度; 土壤水分; 枣树生长

Abstract:

【Objective】 The objective of this study is to explore the effects of different width mulching patterns on jujube trees in Hotan Prefecture, Xinjiang. 【Methods】 In this study, three kinds of ground cloth covering jujube orchards with different widths were designed to study the effects of soil temperature, soil moisture and growth of jujube trees in jujube orchards compared with the control group without ground cloth. 【Results】(1) Different treatments in jujube orchards had a warming effect on soil temperature, and the ground temperature of each layer of different width cloth treatments increased, but the effect of air temperature on soil temperature decreased with the increase of depth; (2) The three kinds of ground cloth mulching had a certain moisture retention effect, and the water retention effect of C3 was better than that of CK. (3) Different widths of ground covering were beneficial to the growth of jujube trees, and the length of new shoots was C2>C3>C1>CK, and the length of jujube hanging was C3>C2>C1>CK, and the yields of C1, C2 and C3 treatments increased by 6.34%, 17.74% and 18.44%, respectively, compared with CK treatment. (4) The C2 treatment was the best, followed by the C3 treatment. 【Conclusion】 The application of horticultural ground cloth to jujube orchard mulching can improve soil temperature and moisture content, and has a good moisture retention effect on soil, which can promote the growth and yield of jujube trees.

Key words: jujube; floor cloth covering; soil temperature; soil moisture; jujube tree growth

中图分类号: 


ISSN 1001-4330 CN 65-1097/S
邮发代号:58-18
国外代号:BM3342
主管:新疆农业科学院
主办:新疆农业科学院 新疆农业大学 新疆农学会

出版单位:《新疆农业科学》编辑部
地址:乌鲁木齐市南昌路403号新疆农业科学院
邮编:830091
电话:0991-4502046
E-mail:xjnykx-h@xaas.ac.cn


版权所有 © 《新疆农业科学》编辑部
本系统由北京玛格泰克科技发展有限公司设计开发
总访问量: 今日访问: 在线人数:
网站
微信公众号
淘宝购买
微店购买