

新疆农业科学 ›› 2023, Vol. 60 ›› Issue (7): 1741-1747.DOI: 10.6048/j.issn.1001-4330.2023.07.021
薛正轩1(
), 蔡志平1, 张智健1, 彭天祥1, 黄志伟1, 黄恩泽1, 王佩玲1(
), 陆宴辉2(
)
收稿日期:2022-09-09
出版日期:2023-07-20
发布日期:2023-07-11
作者简介:薛正轩(1996-),男,新疆乌鲁木齐人,硕士研究生,研究方向为农业昆虫与害虫防治,(E-mail)944173005@qq.com
基金资助:
XUE Zhengxuan1(
), CAI Zhiping1, ZHANG Zhijian1, PENG Tianxiang1, HUANG Zhiwei1, HUANG Enze1, WANG Peiling1(
), LU Yanhui2(
)
Received:2022-09-09
Published:2023-07-20
Online:2023-07-11
Supported by:摘要:
【目的】研究铷元素标记技术分析多异瓢虫在甘草带与邻近棉田间的迁移范围,丰富铷(Rb)元素标记技术在昆虫迁移扩散的作用。【方法】在室内利用铷元素标记技术检测多异瓢虫体内的铷元素滞留期;在田间利用铷元素标记技术,研究多异瓢虫从甘草带向棉田的迁移范围。【结果】铷元素在多异瓢虫成虫体内滞留期为15 d左右;多异瓢虫成虫和幼虫从甘草向棉田的转移范围有所不同;成虫的铷元素检出率0~15 m > 30~50 m > 15~30 m > 50~100 m。【结论】铷元素标记技术可以在田间有效的跟踪多异瓢虫成虫和幼虫的迁移范围。
中图分类号:
薛正轩, 蔡志平, 张智健, 彭天祥, 黄志伟, 黄恩泽, 王佩玲, 陆宴辉. 基于铷元素标记技术分析多异瓢虫在甘草带与棉田间的迁移范围[J]. 新疆农业科学, 2023, 60(7): 1741-1747.
XUE Zhengxuan, CAI Zhiping, ZHANG Zhijian, PENG Tianxiang, HUANG Zhiwei, HUANG Enze, WANG Peiling, LU Yanhui. Transfer of Hippodamia variegate between licorice and cotton fields based on rubidium marker technology[J]. Xinjiang Agricultural Sciences, 2023, 60(7): 1741-1747.
| 样本来源 Sample Source | 铷含量 Rb content(μg/mL) |
|---|---|
| 室内饲养 Indoor breeding | 0.036±0.003 |
| 棉蚜发生早期 Early occurrence of cotton aphid | 0.034±0.005 |
| 棉蚜快速增长期 Rapid growth period of cotton aphid | 0.053±0.004 |
表1 多异瓢虫自然背景下铷(Rb)含量
Tab.1 Rubidium (Rb) content in the natural background of H.variegate
| 样本来源 Sample Source | 铷含量 Rb content(μg/mL) |
|---|---|
| 室内饲养 Indoor breeding | 0.036±0.003 |
| 棉蚜发生早期 Early occurrence of cotton aphid | 0.034±0.005 |
| 棉蚜快速增长期 Rapid growth period of cotton aphid | 0.053±0.004 |
图2 棉蚜发生不同时期中甘草上多异瓢虫体内铷元素检出率 注:数据为平均值 ± 标准误差
Fig.2 Rb detection rate of H.variegate on liquorice in different periods of cotton aphid occurrence Notes:The data are Mean ± SEM
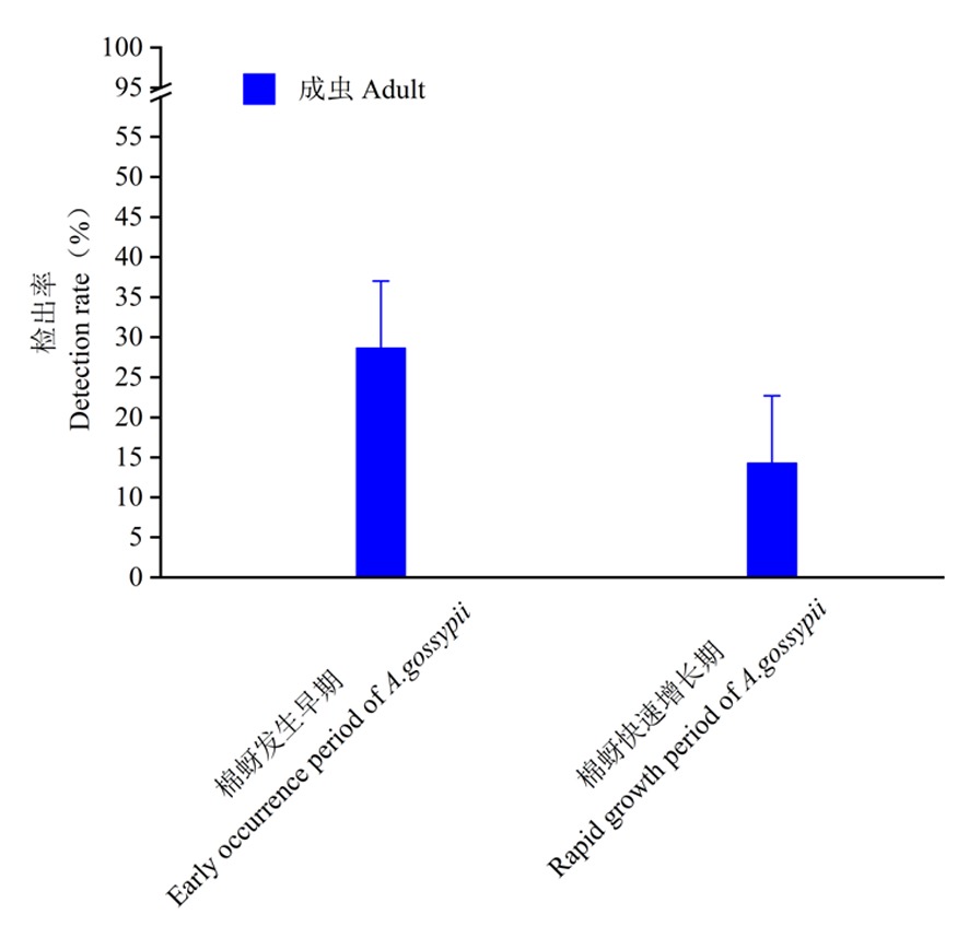
图3 不同时期和不同距离下多异瓢虫成虫体内的铷元素检出率 注:数据为平均值 ± 标准误差,成虫的铷元素检出率
Fig.3 Rb detection rate in adult of H. variegate at different periods and distances Notes:The data are Mean ± SEM, Rb detection rate of adult
| [1] |
Gurr G M, Wratten S D, Landis D A, et al. Habitat management to suppress pest populations:progress and prospects[J]. Annual Review of Entomology, 2017, 62(1):91-109.
DOI URL |
| [2] |
Thomine E, Jeavons E, Rusch A, et al. Effect of crop diversity on predation activity and population dynamics of the mirid predator Nesidiocoris tenuis[J]. Journal of Pest Science, 2020, 93(4):1255-1265.
DOI |
| [3] |
Landis D A, Wratten S D, Gurr G M. Habitat management to conserve natural enemies of arthropod pests in agriculture[J]. Annual Review of Entomology, 2000, 45(1):175-201.
DOI URL |
| [4] | Bianchi F J, Booij C J, Tscharntke T. Sustainable pest regulation in agricultural landscapes:a review on landscape composition, biodiversity and natural pest control[J]. Proceedings.Biological Sciences, 2006, 273(1595):1715-1727. |
| [5] |
Gurr G M, Wratten S D, Luna J M. Multi-function agricultural biodiversity:pest management and other benefits[J]. Basic and Applied Ecology, 2003, 4(2):107-116.
DOI URL |
| [6] | Woodcock B, Redhead J, Vanbergen A, et al. Impact of habitat type and landscape structure on biomass, species richness and functional diversity of ground beetles[J].Agriculture, Ecosystems and Environment, 2010, 139(1-2):181-186. |
| [7] |
Skirvin D, Kravar-Garde L, Reynolds K, et al. The effect of within-crop habitat manipulations on the conservation biological control of aphids in field-grown lettuce[J]. Bulletin of Entomological Research, 2011, 101(6):623-631.
DOI PMID |
| [8] | 包伟方. 利用DNA追踪技术分析异色瓢虫成虫的花粉取食习性[D]. 哈尔滨: 东北农业大学, 2017. |
| BAO Weifang. Analysis of feeding habits of Harmonia axyridis adults on plant pollens by DNA molecular tracking technology[D]. Harbin:Northeast Agricultural University, 2017. | |
| [9] | 王倩. 绿盲蝽多寄主利用习性的DNA分子追踪[D]. 扬州: 扬州大学, 2017. |
| WANG Qian. Tracking the behaviour of utilizing multiple host plants of apolygus lucorm by DNA-based methods[D]. Yangzhou: Yangzhou University, 2017. | |
| [10] | 宋新元, 丛斌, 钱海涛, 等. 大豆蚜捕食性天敌捕食行为的COI基因标记检测[J]. 中国农业科学, 2008, 41(9):2881-2888. |
| SONG Xinyuan, CONG Bin, QIAN Haitao, et al. Identification of the Key Predators of Aphis glycines Matsumura (Homoptera:Aphididae) Using COI Gene Markers[J]. Scientia Agricultura Sinica, 2008, 41(9):2881-2888. | |
| [11] | 杜娟. 吖啶橙标记及其对赤眼蜂的影响[D]. 南京: 南京农业大学, 2014. |
| DU Juan. Effect of marking with acridine orange on trichogramma’s biological characteristics[D]. Nanjing: Nanjing Agricultural University, 2014. | |
| [12] | 郭培, 郭线茹, 王高平. 轨迹分析和花粉标记在迁飞昆虫研究中的应用现状与前景[J]. 华中昆虫研究, 2016, 12(1):136-142. |
| GUO Pei, GUO Linru, WANG Gaoping. Current status and prospects of trajectory analysis and pollen markers in the study of migratory insects[J]. Insect Research in Central China, 2016, 12(1):136-142. | |
| [13] |
Berry W, Stimmann M, Wolf W. Marking of native phytophagous insects with rubidium:a proposed technique[J]. Annals of the Entomological Society of America, 1972, 65(1):236-238.
DOI URL |
| [14] | 宋国晶. 绿盲蝽和中黑盲蝽的季节性寄主转移规律及捕食性天敌种类研究[D]. 呼和浩特: 内蒙古农业大学, 2011. |
| SONG Guojing. Seasonal Migration of Apolygus lucorum (Meyer-Dür) and Adelphocoris suturalis Jakovlev (Hemiptera:Miridae) among Host Plants and Their Predatory Natural Enemies[D]. Hohhot: Inner Mongolia Agricultural University, 2011. | |
| [15] |
Hagler, James R, Charles G, et al. Methods for Marking Insects:Current Techniques and Future Prospects[J]. Annual Review of Entomology, 2001, 46(1):511-543.
DOI URL |
| [16] | 蔡志平. 三种功能植物对苹果园绣线菊蚜及其捕食性天敌的调控作用[D]. 石河子: 石河子大学, 2020. |
| CAI Zhiping. Effects of Ecological Regulation on Spirea Aphid (Aphis spiraecola) and Predatory Natural Enemies in Apple Orchards by Three Functional Plants[D]. Shihezi: Shihezi University, 2020. | |
| [17] |
Muratori F, Perremans D, Hance T. Rubidium marking ofAphidius rhopalosiphi(Hymenoptera:Braconidae) onSitobion avenae(Hemiptera:Aphididae) reared on a diet supplemented with RbCl[J]. European Journal of Entomology, 2005, 102(3):489-494.
DOI URL |
| [18] | 蔡志平, 肖云丽, 欧阳芳, 等. 定量评价天敌昆虫控害功能的铷元素标记技术[J]. 应用昆虫学报, 2019, 56(2):348-353. |
| CAI Zhiping, XIAO Yunli, OUYANG Fang, et al. Quantitative evaluation of the biological control efficiency of predatory insects based on rubidium marking method[J]. Chinese Journal of Applied Entomology, 2019, 56(2):348-353. | |
| [19] | 宋国晶, 封洪强, 李国平, 等. 河南省绿盲蝽秋季迁移的铷标记研究[J]. 应用昆虫学报, 2012, 49(3):626-630. |
| SONG Guojing, FENG Hongqiang, LI Guoping, et al. Autumn migration ofApolygus lucorumin Henan Province revealed by the Rb marking technique[J]. Chinese Journal of Applied Entomology, 2012, 49(3):626-630. | |
| [20] | 金亮, 俞晓平, 边亚琳, 等. 苦杏仁酸对褐飞虱取食行为影响的刺探电位测试分析[J]. 中国计量学院学报, 2011, 22(2):95-101. |
| JIN Liang, YU Xiaoping, BIAN Yalin, et al. Effects of mandelic acid on the feeding behavior of brown planthopper Nilaparvata lugens monitored by electrical penetration graph (EPG) technique[J]. Journal of China Institute of Metrology, 2011, 22(2):95-101. | |
| [21] |
Nowatzki T, Niimi B, Warren K, et al. In-Field Labeling of Western Corn Rootworm Adults (Coleoptera:Chrysomelidae) with Rubidium[J]. Journal of economic entomology, 2004, 96(6):1750-1759.
DOI URL |
| [22] |
MacKinnon W, Eveleigh E, Silk P, et al. Labeling Feral Spruce Budworm (Lepidoptera:Tortricidae) Populations with Rubidium[J]. Environmental Entomology, 2016, 45(2):427-435.
DOI PMID |
| [23] | 冯宏祖, 王兰, 熊仁慈, 等. 多异瓢虫种群动态及捕食功能的研究[J]. 昆虫知识, 2000, 37(4):223-226. |
| Feng Hongzu, Wang Lan, Xiong Renci, et al. A study on the population dynamics and predacious function of Hippodamia (Adonia) variegata (Goeze)[J]. Entomological Knowledge, 2000, 37(4):223 - 226. | |
| [24] |
罗延亮, 李雪玲, 李辉, 等. 苦豆子条带对棉田捕食性天敌发生的影响[J]. 新疆农业科学, 2019, 56(1):74-83.
DOI |
|
LUO Yanliang, LI Xueling, LI Hui, et al. Effects of Sophora Strips on the Population Occurrence of Predators in Cotton Fields[J]. Xinjiang Agricultural Sciences, 2019, 56(1):74-83.
DOI |
|
| [25] |
李雪玲, 罗延亮, 李辉, 等. 田埂碱蓬带对棉田多异瓢虫种群发生的调控作用. 新疆农业科学, 2019, 56(1):13-22.
DOI |
|
LI Xueling, LUO Yanliang, LI Hui, et al. Regulation and Control Effects of Suaeda Strips on the Population Occurrence of Hippomidia variegata in Cotton Fields[J]. Xinjiang Agricultural Sciences, 2019, 56(1):13-22.
DOI |
|
| [26] | 吕昭智, 田长彦, 胡明芳, 等. 棉田及其边缘杂草对天敌的影响[J]. 植物保护, 2002, 28(5):22-24. |
| LV Zhaozhi, TIAN Changyan, HU Mingfang, et al. Influence of the weeds in cotton fields and the surrounding areas on natural enemies[J]. Plant Protection, 2002, 28(5):22-24. | |
| [27] |
Madeira F, Pons X. Rubidium marking reveals different patterns of movement in four ground beetle species (Col., Carabidae) between adjacent alfalfa and maize[J]. Agricultural and Forest Entomology, 2016, 18(2):99-107.
DOI URL |
| [28] |
Kobelt A, Yen A, Kitching M. Laboratory validation of rubidium marking of herbivorous insects and their predators[J]. Australian Journal of Entomology, 2009, 48(3):204-209.
DOI URL |
| [29] | 宋国晶, 李国平, 封洪强, 等. 微量元素标记技术及其在昆虫生态学中的应用[J]. 生物安全学报, 2010, 19(4):315-320. |
| SONG Guojing, LI Guoping, FENG Hongqiang. Marking technique with microelements and its applications in insect ecology[J]. Journal of Biosafety, 2010, 19(4):315-320. | |
| [30] |
Fleischer S, Gaylor M, Hue N, et al. Uptake and elimination of rubidium, a physiological marker, in adult Lygus lineolaris (Hemiptera:Miridae)[J]. Annals of the Entomological Society of America, 1986, 79(1):19-25.
DOI URL |
| [31] | 李国平, 崔建新, 黄建荣, 等. 饲喂不同剂量RbCl对棉铃虫的影响以及标记效果[J]. 生态学杂志, 2016, 35(10):2768-2773. |
| LI Guoping, CUI Jianxin, HUANG Jianrong, et al. Effects of feeding RbCl with different dosages on Helicoverpa armigera (Hübner) (Lepi-doptera:Noctuidae) and marking efficiency[J]. Chinese Journal of Ecology, 2016, 35(10):2768-2773. | |
| [32] |
Armes N J, King A B S, Carlaw P M, et al. Evaluation of strontium as a trace-element marker for dispersal studies on Heliothis armigera[J]. Entomologia Experimentalis et Applicata, 1989, 51(1):5-10.
DOI URL |
| [33] | 宋国晶, 封洪强, 李国平, 等. 河南省绿盲蝽和中黑盲蝽春季迁移能力的铷标记研究[J]. 应用昆虫学报, 2012, 49(3):620-625. |
| SONG Guojing, FENG Hongqiang, LI Guoping, et al. Using the Rb marking technique to track the spring migration of Apolygus lucorum and Adelphocoris suturalis in Henan[J]. Chinese Journal of Applied Entomology, 2012, 49(3):620-625. | |
| [34] |
韩宗礼, 谭晓玲, 陈巨莲. 环境温度变化对异色瓢虫的飞行与运动能力的影响[J]. 中国生物防治学报, 2017, 33(4):433-441.
DOI |
|
HAN Zongli, TAN Xiaoling, CHEN Julian. Effect of Environmental Temperature Variations on Flight and Locomotory Behavior of Harmonia axyridis (Coleoptera:Coccinellidae)[J]. Chinese Journal of Biological Control, 2017, 33(4):433-441.
DOI |
| [1] | 安哲, 牛瑞昌, 朱香镇, 王丽, 张开心, 李东阳, 姬继超, 牛林, 高雪珂, 雒珺瑜, 崔金杰, 马德英. 棉田不同菌型棉蚜体内微生物多样性分析[J]. 新疆农业科学, 2024, 61(9): 2277-2284. |
| [2] | 王伟, 张仁福, 刘海洋, 丁瑞丰, 梁革梅, 姚举. 不同抗性遗传背景棉蚜氟啶虫胺腈及啶虫脒抗性品系转录组分析[J]. 新疆农业科学, 2024, 61(12): 3078-3088. |
| [3] | 李辉, 戴长春, 刘冰, 刘佳美, 王佩玲, 陆宴辉. 不同糖类物质对多异瓢虫捕食与飞行行为及能力的影响[J]. 新疆农业科学, 2023, 60(3): 689-697. |
| [4] | 李耀发, 安静杰, 窦亚楠, 孙小诺, 张谦, 柳春红, 党志红, 高占林. 播期对黄河流域棉花苗蚜种群动态和棉花产量的影响[J]. 新疆农业科学, 2023, 60(10): 2496-2500. |
| [5] | 王小丽, 韩睿, 张全成, 赵鹏程, 王俊刚. 不同地理种群棉蚜三种关键性酶活差异及其与抗性相关性[J]. 新疆农业科学, 2022, 59(8): 2007-2013. |
| [6] | 李艳兵, 郭小虎, 努尔什瓦克·阿达力别克, 帕提玛·乌木尔汗, 马德英. 人工助迁多异瓢虫和化防2种模式对棉蚜的防效及天敌种群动态影响[J]. 新疆农业科学, 2022, 59(5): 1173-1179. |
| [7] | 陈文静, 赵静, 张金磊, 鲁立良, 冯丽凯. 噻虫嗪在棉叶中残留消解动态及对棉蚜的防治效果评价[J]. 新疆农业科学, 2021, 58(9): 1678-1684. |
| [8] | 麻正辉, 苏悦, 马雪, 羊河, 侯国辉, 陈柄润, 韩旭, 姚永生. 噻虫嗪种子包衣棉花对棉蚜和棉长管蚜解毒酶活性的影响[J]. 新疆农业科学, 2021, 58(9): 1685-1693. |
| [9] | 张谦, 王燕, 黄山松, 董明, 冯国艺, 王永强, 刘旭, 梁青龙, 林永增, 祁虹, 王树林. 增效剂对常用烟碱类杀虫剂防治棉蚜的减量增效作用[J]. 新疆农业科学, 2021, 58(8): 1435-1440. |
| [10] | 安静杰, 高占林, 党志红, 郭江龙, 柳春红, 李耀发. 棉蚜有翅成蚜对不同波段光谱的选择性[J]. 新疆农业科学, 2021, 58(8): 1441-1446. |
| [11] | 闫虹江, 李维政, 梁赫, 宁忠雄, 路伟. 3种新烟碱类杀虫剂对棉蚜的室内毒力测定及田间药效[J]. 新疆农业科学, 2021, 58(8): 1454-1459. |
| [12] | 李娜, 刘冰, 陆宴辉. 氟啶虫胺腈对新疆棉田棉蚜及其天敌种群的影响[J]. 新疆农业科学, 2021, 58(11): 2062-2068. |
| [13] | 刘佳美, 刘冰, 王佩玲, 陆宴辉. 植物源杀虫剂对棉蚜毒力及多异瓢虫的安全性评价[J]. 新疆农业科学, 2021, 58(11): 2069-2076. |
| [14] | 李志雄, 魏引弟, 苏悦, 陈柄润, 侯国辉, 闻慧, 姚永生, 陈婧. 3种杀虫剂亚致死剂量对棉蚜和棉长管蚜生长与繁殖的影响[J]. 新疆农业科学, 2021, 58(10): 1851-1859. |
| [15] | 魏引弟, 马雪, 韩旭, 麻正辉, 张笑丽, 姚永生, 熊仁次. 氟啶虫酰胺亚致死浓度处理棉蚜对十一星瓢虫捕食功能反应的影响[J]. 新疆农业科学, 2021, 58(10): 1860-1867. |
| 阅读次数 | ||||||
|
全文 |
|
|||||
|
摘要 |
|
|||||