

新疆农业科学 ›› 2025, Vol. 62 ›› Issue (1): 95-102.DOI: 10.6048/j.issn.1001-4330.2025.01.012
• 耕作栽培·生理生化·种质资源·分子遗传学·土壤肥料 • 上一篇 下一篇
杜孝敬1,2(
), 侯天钰2, 李冬1(
), 吕玉平1, 袁杰2, 张燕红2, 赵志强2, 布哈丽且木·阿不力孜2, 王奉斌1,2(
)
收稿日期:2024-07-30
出版日期:2025-01-20
发布日期:2025-03-11
通信作者:
李冬(1982-),男,陕西商洛人,副研究员,硕士,研究方向为水稻遗传育种及栽培,(E-mail)ld1995789@sina.com;作者简介:杜孝敬(1993-),男,河南商丘人,助理研究员,硕士,研究方向为稻种资源及水稻栽培,(E-mail)dxjixj@163.com
基金资助:
DU Xiaojing1,2(
), HOU Tianyu2, LI Dong1(
), LYU Yuping1, YUAN Jie2, ZHANG Yanhong2, ZHAO Zhiqiang2, Buhaliqiemu Abulizi2, WANG Fengbin1,2(
)
Received:2024-07-30
Published:2025-01-20
Online:2025-03-11
Supported by:摘要:
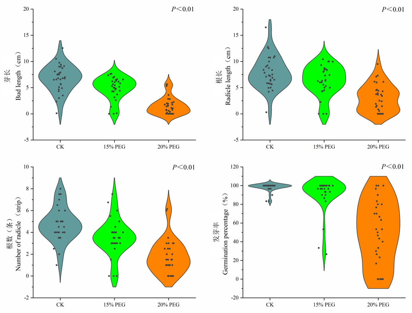
【目的】 分析水稻早期耐旱性鉴定指标,筛选水稻耐旱种质资源。【方法】 采用0%、15%、20%的PEG-6000溶液,鉴定31份水稻品种萌发期的抗旱性。【结果】 不同水稻品种的根长、芽长、根数和发芽率随PEG浓度增加呈下降趋势,20% PEG为水稻萌发期耐旱性鉴定浓度。将31份水稻品种划分为3大类群:第 Ⅰ 类群为萌发期抗旱型较优品种,共4份;第 Ⅱ 类群为萌发期抗旱型中等品种,共14份;第 Ⅲ 类群为萌发期抗旱型差品种,共13份。利用主成分分析法仅提取1个综合因子,累计贡献率为74.689%,其相对芽长、相对根长、相对根数、相对发芽率均与平均总隶属函数值呈极显著正相关,4个性状为萌发期抗旱性鉴定指标。【结论】 筛选出萌发期耐旱性强的4份水稻材料23H25、23H5、23H20和23H16。
中图分类号:
杜孝敬, 侯天钰, 李冬, 吕玉平, 袁杰, 张燕红, 赵志强, 布哈丽且木·阿不力孜, 王奉斌. 水稻种子萌发期耐旱性鉴定及优异品种筛选[J]. 新疆农业科学, 2025, 62(1): 95-102.
DU Xiaojing, HOU Tianyu, LI Dong, LYU Yuping, YUAN Jie, ZHANG Yanhong, ZHAO Zhiqiang, Buhaliqiemu Abulizi, WANG Fengbin. Identification of drought tolerance and selection of excellent varieties of rice seeds at germination stage[J]. Xinjiang Agricultural Sciences, 2025, 62(1): 95-102.
| 性状 Traits | 处理 Treatments | 最小值 Min (%) | 最大值 Max (%) | 均值 Mean (%) | 标准差 SD | 变异系数 CV (%) |
|---|---|---|---|---|---|---|
| 相对芽长 Relative bud length | CK | / | / | / | / | / |
| 15% PEG | 0.00 | 180.85 | 77.39 | 37.79 | 48.83 | |
| 20% PEG | 0.00 | 85.50 | 23.27 | 24.54 | 105.48 | |
| 相对根长 Relative radicle length | CK | / | / | / | / | / |
| 15% PEG | 0.00 | 178.57 | 80.25 | 40.55 | 50.53 | |
| 20% PEG | 0.00 | 146.15 | 41.60 | 36.38 | 87.47 | |
| 相对根数 Relative radicle number | CK | / | / | / | / | / |
| 15% PEG | 0.00 | 140.00 | 72.75 | 33.04 | 45.41 | |
| 20% PEG | 0.00 | 82.00 | 35.19 | 24.85 | 70.62 | |
| 相对发芽率 Relative germination percentage | CK | / | / | / | / | / |
| 15% PEG | 32.00 | 103.45 | 92.35 | 17.27 | 18.70 | |
| 20% PEG | 0.00 | 100.00 | 50.22 | 33.95 | 67.61 |
表1 各品种性状指标的变异系数
Tab.1 Coefficients of variation of trait indexes of each cultivar
| 性状 Traits | 处理 Treatments | 最小值 Min (%) | 最大值 Max (%) | 均值 Mean (%) | 标准差 SD | 变异系数 CV (%) |
|---|---|---|---|---|---|---|
| 相对芽长 Relative bud length | CK | / | / | / | / | / |
| 15% PEG | 0.00 | 180.85 | 77.39 | 37.79 | 48.83 | |
| 20% PEG | 0.00 | 85.50 | 23.27 | 24.54 | 105.48 | |
| 相对根长 Relative radicle length | CK | / | / | / | / | / |
| 15% PEG | 0.00 | 178.57 | 80.25 | 40.55 | 50.53 | |
| 20% PEG | 0.00 | 146.15 | 41.60 | 36.38 | 87.47 | |
| 相对根数 Relative radicle number | CK | / | / | / | / | / |
| 15% PEG | 0.00 | 140.00 | 72.75 | 33.04 | 45.41 | |
| 20% PEG | 0.00 | 82.00 | 35.19 | 24.85 | 70.62 | |
| 相对发芽率 Relative germination percentage | CK | / | / | / | / | / |
| 15% PEG | 32.00 | 103.45 | 92.35 | 17.27 | 18.70 | |
| 20% PEG | 0.00 | 100.00 | 50.22 | 33.95 | 67.61 |
| 成分 Component | 初始特征值 Initial Eigenvalues | 提取载荷平方 Extraction Sums of Squared Loadings | ||||
|---|---|---|---|---|---|---|
| 特征值 Eigenvalue | 方差百分比 Variance percentage(%) | 累积 Cumulative(%) | 特征值 Eigenvalue | 方差百分比 Variance percentage(%) | 累积 Cumulative (%) | |
| 1(PC1) | 2.988 | 74.689 | 74.689 | 2.988 | 74.689 | 74.689 |
| 2 | 0.459 | 11.486 | 86.175 | |||
| 3 | 0.424 | 10.595 | 96.77 | |||
| 4 | 0.129 | 3.23 | 100 | |||
表2 总方差解释
Tab.2 Total Variance Explained
| 成分 Component | 初始特征值 Initial Eigenvalues | 提取载荷平方 Extraction Sums of Squared Loadings | ||||
|---|---|---|---|---|---|---|
| 特征值 Eigenvalue | 方差百分比 Variance percentage(%) | 累积 Cumulative(%) | 特征值 Eigenvalue | 方差百分比 Variance percentage(%) | 累积 Cumulative (%) | |
| 1(PC1) | 2.988 | 74.689 | 74.689 | 2.988 | 74.689 | 74.689 |
| 2 | 0.459 | 11.486 | 86.175 | |||
| 3 | 0.424 | 10.595 | 96.77 | |||
| 4 | 0.129 | 3.23 | 100 | |||
| 排名 Ranking | 材料编号 Material | 平均总隶 属函数值 Xi | 抗旱等级 Grade of drought resistance | 类群 Group | 排名 Ranking | 材料编号 Material | 平均总隶 属函数值 Xi | 抗旱等级 Grade of drought resistance | 类群 Group |
|---|---|---|---|---|---|---|---|---|---|
| 1 | 23H25 | 0.779 | R | Ⅰ | 17 | 23H14 | 0.415 | MR | Ⅱ |
| 2 | 23H5 | 0.768 | R | Ⅰ | 18 | 23H2 | 0.355 | S | Ⅱ |
| 3 | 23H20 | 0.749 | R | Ⅰ | 19 | 23H3 | 0.252 | S | Ⅲ |
| 4 | 23H16 | 0.719 | R | Ⅰ | 20 | 23H10 | 0.223 | S | Ⅲ |
| 5 | 23H19 | 0.644 | R | Ⅱ | 21 | 23H9 | 0.209 | S | Ⅲ |
| 6 | 23H13 | 0.600 | MR | Ⅱ | 22 | 23H12 | 0.198 | HS | Ⅲ |
| 7 | 23H21 | 0.587 | MR | Ⅱ | 23 | 23H28 | 0.196 | HS | Ⅲ |
| 8 | 23H23 | 0.582 | MR | Ⅱ | 24 | 23H1 | 0.185 | HS | Ⅲ |
| 9 | 23H22 | 0.561 | MR | Ⅱ | 25 | 23H18 | 0.184 | HS | Ⅲ |
| 10 | 23H24 | 0.547 | MR | Ⅱ | 26 | 23H8 | 0.000 | HS | Ⅲ |
| 11 | 23H11 | 0.493 | MR | Ⅱ | 27 | 23H15 | 0.000 | HS | Ⅲ |
| 12 | 23H7 | 0.486 | MR | Ⅱ | 28 | 23H26 | 0.000 | HS | Ⅲ |
| 13 | 23H17 | 0.478 | MR | Ⅱ | 29 | 23H27 | 0.000 | HS | Ⅲ |
| 14 | 23H31 | 0.461 | MR | Ⅱ | 30 | 23H29 | 0.000 | HS | Ⅲ |
| 15 | 23H6 | 0.446 | MR | Ⅱ | 31 | 23H30 | 0.000 | HS | Ⅲ |
| 16 | 23H4 | 0.416 | MR | Ⅱ |
表3 31份水稻种质干旱胁迫下的平均总隶属函数值
Tab.3 The average total membership function values of 31 rice germplasm under drought stress
| 排名 Ranking | 材料编号 Material | 平均总隶 属函数值 Xi | 抗旱等级 Grade of drought resistance | 类群 Group | 排名 Ranking | 材料编号 Material | 平均总隶 属函数值 Xi | 抗旱等级 Grade of drought resistance | 类群 Group |
|---|---|---|---|---|---|---|---|---|---|
| 1 | 23H25 | 0.779 | R | Ⅰ | 17 | 23H14 | 0.415 | MR | Ⅱ |
| 2 | 23H5 | 0.768 | R | Ⅰ | 18 | 23H2 | 0.355 | S | Ⅱ |
| 3 | 23H20 | 0.749 | R | Ⅰ | 19 | 23H3 | 0.252 | S | Ⅲ |
| 4 | 23H16 | 0.719 | R | Ⅰ | 20 | 23H10 | 0.223 | S | Ⅲ |
| 5 | 23H19 | 0.644 | R | Ⅱ | 21 | 23H9 | 0.209 | S | Ⅲ |
| 6 | 23H13 | 0.600 | MR | Ⅱ | 22 | 23H12 | 0.198 | HS | Ⅲ |
| 7 | 23H21 | 0.587 | MR | Ⅱ | 23 | 23H28 | 0.196 | HS | Ⅲ |
| 8 | 23H23 | 0.582 | MR | Ⅱ | 24 | 23H1 | 0.185 | HS | Ⅲ |
| 9 | 23H22 | 0.561 | MR | Ⅱ | 25 | 23H18 | 0.184 | HS | Ⅲ |
| 10 | 23H24 | 0.547 | MR | Ⅱ | 26 | 23H8 | 0.000 | HS | Ⅲ |
| 11 | 23H11 | 0.493 | MR | Ⅱ | 27 | 23H15 | 0.000 | HS | Ⅲ |
| 12 | 23H7 | 0.486 | MR | Ⅱ | 28 | 23H26 | 0.000 | HS | Ⅲ |
| 13 | 23H17 | 0.478 | MR | Ⅱ | 29 | 23H27 | 0.000 | HS | Ⅲ |
| 14 | 23H31 | 0.461 | MR | Ⅱ | 30 | 23H29 | 0.000 | HS | Ⅲ |
| 15 | 23H6 | 0.446 | MR | Ⅱ | 31 | 23H30 | 0.000 | HS | Ⅲ |
| 16 | 23H4 | 0.416 | MR | Ⅱ |
| [1] | 董晓华, 张庆玉, 张特, 等. 三种长期定量降水产品在淮河流域干旱监测中的潜力[J]. 农业工程学报, 2021, 37(11): 93-103. |
| DONG Xiaohua, ZHANG Qingyu, ZHANG Te, et al. Potential of three long-term quantitative precipitation products of drought monitoring in Huaihe River Basin[J]. Transactions of the Chinese Society of Agricultural Engineering, 2021, 37(11): 93-103. | |
| [2] | 国家统计局. 中国统计年鉴[M]. 北京: 中国统计出版社, 2023. |
| National Statistical Office. China Statistical Yearbook[M]. Beijiang: China Statistic Press, 2023. | |
| [3] | Oladosu Y, Rafii M Y, Samuel C, et al. Drought resistance in rice from conventional to molecular breeding: a review[J]. International Journal of Molecular Sciences, 2019, 20(14): 3519. |
| [4] |
郭展, 张运波. 水稻对干旱胁迫的生理生化响应及分子调控研究进展[J]. 中国水稻科学, 2024, 38(4): 335-349.
DOI |
|
GUO Zhan, ZHANG Yunbo. Research Progress in Physiological, Biochemical Responses of Rice to Drought Stress and Its Molecular Regulation[J]. Chinese Journal of Rice Science, 2024, 38(4): 335-349.
DOI |
|
| [5] | van den Berg L, Zeng Y J. Response of South African indigenous grass species to drought stress induced by polyethylene glycol (PEG) 6000[J]. South African Journal of Botany, 2006, 72(2): 284-286. |
| [6] | Muscolo A, Sidari M, Anastasi U, et al. Effect of PEG-induced drought stress on seed germination of four lentil genotypes[J]. Journal of Plant Interactions, 2014, 9(1): 354-363. |
| [7] | 刘翔, 左凯峰, 许伟, 等. PEG 6000模拟干旱胁迫下甘蓝型油菜芽期及苗期抗旱指标筛选[J]. 干旱地区农业研究, 2021, 39(5): 66-70, 83. |
| LIU Xiang, ZUO Kaifeng, XU Wei, et al. Selecting drought resistance indexes of Brassica napus L. under PEG 6000 simulated drought stress at germination and seedling stage[J]. Agricultural Research in the Arid Areas, 2021, 39(5): 66-70, 83. | |
| [8] | 侯森, 秦慧彬, 李萌, 等. 山西44份谷子地方品种农艺性状与芽期耐旱性评价[J]. 干旱地区农业研究, 2024, 42(2): 26-32. |
| HOU Sen, QIN Huibin, LI Meng, et al. Identification of agronomic traits and drought tolerance at germinationstage of 44 local foxtail millet varieties from Shanxi Province[J]. Agricultural Research in the Arid Areas, 2024, 42(2): 26-32. | |
| [9] | 魏良迪, 李宁, 杨进文, 等. 山西省主推小麦品种芽期及苗期的抗旱性评价[J]. 生态学杂志, 2022, 41(5): 873-879. |
| WEI Liangdi, LI Ning, YANG Jinwen, et al. Drought resistance of major wheat varieties in Shanxi Province at germination and seedling stages[J]. Chinese Journal of Ecology, 2022, 41(5): 873-879. | |
| [10] |
翟荣荣, 叶胜海, 余鹏, 等. 浙江省晚粳稻品种对PEG胁迫的反应和耐旱性鉴定[J]. 核农学报, 2015, 29(10): 1991-1997.
DOI |
|
ZHAI Rongrong, YE Shenghai, YU Peng, et al. Response to PEG stress and drought-tolerance identification of Zhejiang photosensitive Japonica rice cultivars[J]. Journal of Nuclear Agricultural Sciences, 2015, 29(10): 1991-1997.
DOI |
|
| [11] |
Aslam M M, Rashid M A R, Siddiqui M A, et al. Recent insights into signaling responses to cope drought stress in rice[J]. Rice Science, 2022, 29(2): 105-117.
DOI |
| [12] | 袁杰, 王奉斌, 贾春平, 等. 新疆主栽粳稻品种芽期抗旱性鉴定[J]. 分子植物育种, 2019, 17(16): 5398-5405. |
| YUAN Jie, WANG Fengbin, JIA Chunping, et al. Identification of drought resistance of main rice varieties at bud stage in Xinjiang[J]. Molecular Plant Breeding, 2019, 17(16): 5398-5405. | |
| [13] | 黄一轩, 刘雪, 严圣杰, 等. 水稻种质资源萌发期耐旱性评价及耐旱种质筛选[J]. 杂交水稻, 2024, 39(4): 27-35. |
| HUANG Yixuan, LIU Xue, YAN Shengjie, et al. Evaluation and screening of rice germplasm resources for drought resistance in germination stage[J]. Hybrid Rice, 2024, 39(4): 27-35. | |
| [14] | 田又升, 谢宗铭, 吴向东, 等. 水稻种质资源萌发期抗旱性综合鉴定[J]. 干旱地区农业研究, 2015, 33(4): 173-180. |
| TIAN Yousheng, XIE Zongming, WU Xiangdong, et al. Identification of drought tolerance of rice germplasm during germination period[J]. Agricultural Research in the Arid Areas, 2015, 33(4): 173-180. | |
| [15] |
李其勇, 朱从桦, 李星月, 等. 水稻近等基因导入系芽期抗旱性鉴定及抗旱指标筛选[J]. 核农学报, 2021, 35(1): 192-201.
DOI |
|
LI Qiyong, ZHU Conghua, LI Xingyue, et al. Drought resistance identification and index screening of rice near-isogenic introgression lines at germinating stage[J]. Journal of Nuclear Agricultural Sciences, 2021, 35(1): 192-201.
DOI |
|
| [16] | Kim Y, Chung Y S, Lee E, et al. Root response to drought stress in rice (Oryza sativa L.)[J]. International Journal of Molecular Sciences, 2020, 21(4): 1513. |
| [17] |
张娟伟, 石亚飞, 路旭平, 等. 种子萌发期粳稻种质资源耐旱性综合评价[J]. 核农学报, 2022, 36(11): 2093-2103.
DOI |
|
ZHANG Juanwei, SHI Yafei, LU Xuping, et al. Comprehensive evaluation of drought tolerance of Japonica rice germplasm resources at seed germination stage[J]. Journal of Nuclear Agricultural Sciences, 2022, 36(11): 2093-2103.
DOI |
|
| [18] | 敬礼恒, 陈光辉, 刘利成, 等. 水稻种子萌发期的抗旱性鉴定指标研究[J]. 杂交水稻, 2014, 29(3): 65-69. |
| JING Liheng, CHEN Guanghui, LIU Licheng, et al. Studies on identification indices of drought resistance of rice in seed germination[J]. Hybrid Rice, 2014, 29(3): 65-69. | |
| [19] | 杨瑰丽, 杨美娜, 李帅良, 等. 水稻萌芽期抗旱指标筛选与抗旱性综合评价[J]. 华南农业大学学报, 2015, 36(2): 1-5. |
| YANG Guili, YANG Meina, LI Shuailiang, et al. Screening and comprehensive evaluation of drought resistance indices of rice at germination stage[J]. Journal of South China Agricultural University, 2015, 36(2): 1-5. | |
| [20] |
张海平, 张俊峰, 陈妍, 等. 大豆种质资源萌发期耐旱性评价[J]. 植物遗传资源学报, 2021, 22(1): 130-138.
DOI |
|
ZHANG Haiping, ZHANG Junfeng, CHEN Yan, et al. Identification and evaluation of soybean germplasm resources for drought tolerance during germination stage[J]. Journal of Plant Genetic Resources, 2021, 22(1): 130-138.
DOI |
|
| [21] |
Panda D, Mishra S S, Behera P K. Drought tolerance in rice: focus on recent mechanisms and approaches[J]. Rice Science, 2021, 28(2): 119-132.
DOI |
| [22] | 杜娟, 钟巧芳, 殷富有, 等. 水稻抗旱性鉴定研究进展及其展望[J]. 江西农业学报, 2023, 35(3): 25-29, 36. |
| DU Juan, ZHONG Qiaofang, YIN Fuyou, et al. Research progress and prospect of drought resistance identification in rice[J]. Acta Agriculturae Jiangxi, 2023, 35(3): 25-29, 36. |
| [1] | 凌沥, 翟辉, 张云舒, 邵华伟, 唐光木, 葛春辉, 徐万里, 杨建军. 外源硒对水稻硒吸收和转运的影响[J]. 新疆农业科学, 2025, 62(1): 103-109. |
| [2] | 陈慧, 张永强, 毕海燕, 谭军, 陈传信, 徐其江, 聂石辉, 于建新, 陆东, 雷钧杰. 不同春小麦品种在新疆旱作区产量形成的特征分析[J]. 新疆农业科学, 2025, 62(1): 13-20. |
| [3] | 赵敏华, 宋秉曦, 张宇鹏, 高志红, 朱勇勇, 陈晓远. 旱作条件下氮肥减施对水稻产量及氮肥偏生产力的影响[J]. 新疆农业科学, 2024, 61(8): 1907-1915. |
| [4] | 刘慧杰, 王俊豪, 龚照龙, 梁亚军, 王俊铎, 李雪源, 郑巨云, 王冀川. 197份陆地棉品种萌发期耐盐性鉴定[J]. 新疆农业科学, 2024, 61(7): 1574-1581. |
| [5] | 康民泰, 杜孝敬, 张燕红, 陈玉环, 文孝荣, 唐福森, 赵志强, 袁杰, 王奉斌. 新疆盐渍区水稻品种生育表现与耐盐性筛选[J]. 新疆农业科学, 2024, 61(3): 591-598. |
| [6] | 宋冰梅, 姜岩, 陈鑫, 张宇, 程宛楠, 潘洪生. 新型转基因高产棉花萌发期和苗期耐盐性与耐碱性评价[J]. 新疆农业科学, 2023, 60(9): 2239-2247. |
| [7] | 王兴州, 时晓磊, 张恒, 曲可佳, 耿洪伟, 丁孙磊, 张金波, 严勇亮. 引进春小麦品种萌发期耐盐性鉴定及评价[J]. 新疆农业科学, 2023, 60(6): 1353-1362. |
| [8] | 张燕红, 侯天钰, 巴音花, 赵彩月, 吕玉平, 布哈丽且木·阿不力孜, 赵志强, 李冬, 杜孝敬, 袁杰, 王奉斌. 水稻重组自交系群体芽期和苗期耐盐性鉴定与评价[J]. 新疆农业科学, 2023, 60(5): 1041-1049. |
| [9] | 单莹, 李越, 徐敏, 刘艳珍, 李冉, 陈捷胤, 王子胜, 朱鹤. PEG模拟干旱胁迫下辽棉系列品种种子萌发期抗旱性评价[J]. 新疆农业科学, 2023, 60(11): 2653-2660. |
| [10] | 布哈丽且木·阿不力孜, 张燕红, 袁杰, 赵志强, 文孝荣, 杜孝敬, 王奉斌, 吕玉平, 阿曼古丽·艾孜子. 新疆优质丰产香型水稻品种筛选与评价[J]. 新疆农业科学, 2023, 60(11): 2694-2703. |
| [11] | 陈丽, 马静, 朱志明, 刘炜, 孙建昌. 基于水稻RIL群体的加工品质性状QTL分析[J]. 新疆农业科学, 2023, 60(10): 2419-2425. |
| [12] | 蒲胜海, 王则玉, 丁峰, 王彩风, 刘小利, 马晓鹏, 王涛, 彭银双, 李韵同. 膜下滴灌水稻生理生化特性对灌浆期控水的响应[J]. 新疆农业科学, 2022, 59(9): 2091-2103. |
| [13] | 李枭, 郭栋良, 李恭泽, 薛敏, 江海霞, 叶佳丽, 谢丽琼. 亚麻萌发期耐盐鉴定体系优化及150份种质耐盐性综合评价[J]. 新疆农业科学, 2022, 59(6): 1438-1449. |
| [14] | 杜孝敬, 张燕红, 吕玉平, 袁杰, 李冬, 赵志强, 布哈丽且木·阿不力孜, 王奉斌. 不同香稻品种种子萌发和苗期对NaCl胁迫的响应[J]. 新疆农业科学, 2022, 59(4): 827-838. |
| [15] | 杜月梅, 高丽萍, 邵华. 呋虫胺及其代谢物UF和DN在水稻上残留行为及其储存稳定性[J]. 新疆农业科学, 2022, 59(3): 663-673. |
| 阅读次数 | ||||||
|
全文 |
|
|||||
|
摘要 |
|
|||||