

Xinjiang Agricultural Sciences ›› 2024, Vol. 61 ›› Issue (11): 2733-2741.DOI: 10.6048/j.issn.1001-4330.2024.11.014
• Crop Genetics and Breeding·Cultivation Physiology • Previous Articles Next Articles
YANG Yifan1(
), GAO Yan2, LIU Yanan3, HUO Xiangdong2, LOU Kai2, GUAN Bo3, CHEN Kaixu1(
), ZENG Jun2(
)
Received:2024-03-27
Online:2024-11-20
Published:2025-01-08
Correspondence author:
CHEN Kaixu, ZENG Jun
Supported by:
杨奕凡1(
), 高雁2, 刘亚男3, 霍向东2, 娄恺2, 关波3, 陈开旭1(
), 曾军2(
)
通讯作者:
陈开旭,曾军
作者简介:杨奕凡(1999-),女,硕士研究生,研究方向为动物营养与饲料,(E-mail)623802746@qq.com
基金资助:CLC Number:
YANG Yifan, GAO Yan, LIU Yanan, HUO Xiangdong, LOU Kai, GUAN Bo, CHEN Kaixu, ZENG Jun. Screening of strains producing non-starch polysaccharide enzyme by fermentation of licorice residue and its dynamic changes[J]. Xinjiang Agricultural Sciences, 2024, 61(11): 2733-2741.
杨奕凡, 高雁, 刘亚男, 霍向东, 娄恺, 关波, 陈开旭, 曾军. 甘草渣发酵产非淀粉多糖酶菌株筛选及产酶的动态变化[J]. 新疆农业科学, 2024, 61(11): 2733-2741.
Add to citation manager EndNote|Ris|BibTeX
URL: https://www.xjnykx.com/EN/10.6048/j.issn.1001-4330.2024.11.014
| 菌株 Strains | D(cm) | d(cm) | D/d | A |
|---|---|---|---|---|
| 黄孢原毛平革 Phanerochaete chrysosporium | 3.0±0.063 | 1.65±0.224 | 1.818 | 0.606 |
| 康宁木霉 Conning wood mold | 3.2±0.141 | 1.4±0.063 | 2.286 | 0.762 |
| 黑曲霉 Aspergillus niger | 3.0±0.327 | 1.67±0.122 | 1.796 | 0.599 |
| 里氏木霉 Trichoderma reeser | 2.52±0.043 | 1.49±0.034 | 1.691 | 0.564 |
Tab.1 Diameter of transparent circle of cellulase produced by four fungi
| 菌株 Strains | D(cm) | d(cm) | D/d | A |
|---|---|---|---|---|
| 黄孢原毛平革 Phanerochaete chrysosporium | 3.0±0.063 | 1.65±0.224 | 1.818 | 0.606 |
| 康宁木霉 Conning wood mold | 3.2±0.141 | 1.4±0.063 | 2.286 | 0.762 |
| 黑曲霉 Aspergillus niger | 3.0±0.327 | 1.67±0.122 | 1.796 | 0.599 |
| 里氏木霉 Trichoderma reeser | 2.52±0.043 | 1.49±0.034 | 1.691 | 0.564 |
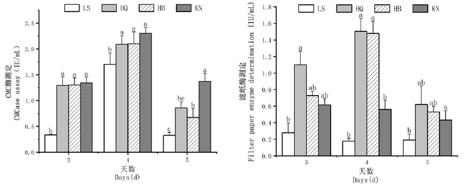
Fig.3 Filter paper strip weight loss results Notes: Different strains containing different letters indicate significant differences (P<0.05), and the same letters indicate non-significant differences (P>0.05).
| 菌株 Strains | D(cm) | d(cm) | D/d | A |
|---|---|---|---|---|
| 黄孢原毛平革 Phanerochaete chrysosporium | 4.37±0.262 | 1.73±0.205 | 2.571 | 0.643 |
| 康宁木霉 Conning wood mold | 6.1±0.572 | 1.63±0.125 | 3.779 | 0.945 |
| 黑曲霉 Aspergillus niger | 5.5±0.082 | 1.47±0.17 | 4.029 | 1.007 |
| 里氏木霉 Trichoderma reeser | 3.97±0.125 | 1.85±0.15 | 2.222 | 0.555 |
Tab.2 Diameter of transparent circle for xylanase production of four fungi
| 菌株 Strains | D(cm) | d(cm) | D/d | A |
|---|---|---|---|---|
| 黄孢原毛平革 Phanerochaete chrysosporium | 4.37±0.262 | 1.73±0.205 | 2.571 | 0.643 |
| 康宁木霉 Conning wood mold | 6.1±0.572 | 1.63±0.125 | 3.779 | 0.945 |
| 黑曲霉 Aspergillus niger | 5.5±0.082 | 1.47±0.17 | 4.029 | 1.007 |
| 里氏木霉 Trichoderma reeser | 3.97±0.125 | 1.85±0.15 | 2.222 | 0.555 |
| 培养时间 Incubation time | 形态学观察 Morphological observation |
|---|---|
| 第1 d 1st day | 培养基底部有少量的白色菌丝 |
| 第2 d 2nd day | 培养基的表面部分有白色菌丝生成, 黑色孢子逐渐增多 |
| 第3 d 3rd day | 黑色孢子继续增加, 并且孢子子颜色有所加深 |
| 第4 d 4th day | 培养基内容物基本变成纯黑色 |
Tab.3 Morphological observation on enzyme production from solid-state fermentation of licorice residue by Aspergillus Niger
| 培养时间 Incubation time | 形态学观察 Morphological observation |
|---|---|
| 第1 d 1st day | 培养基底部有少量的白色菌丝 |
| 第2 d 2nd day | 培养基的表面部分有白色菌丝生成, 黑色孢子逐渐增多 |
| 第3 d 3rd day | 黑色孢子继续增加, 并且孢子子颜色有所加深 |
| 第4 d 4th day | 培养基内容物基本变成纯黑色 |
| 培养时间 Incubation time | 形态学观察 Morphological observation |
|---|---|
| 第1 d 1st day | 培养基底部有少量的白色菌丝 |
| 第3 d 3rd day | 培养基外壁1/3开始变绿 |
| 第4~5 d 4th day-5th day | 培养基内有部分有白色菌丝生成, 绿色生成物逐渐增多 |
| 第5~6 d 5th day-6th day | 绿色生成物继续增加, 并且颜色有所加深 |
| 第7 d 7th day | 培养基内容物完全变成纯绿色 |
Tab.4 Morphological observation on enzyme production of licorice residue by solid-state fermentation with mixed bacteria
| 培养时间 Incubation time | 形态学观察 Morphological observation |
|---|---|
| 第1 d 1st day | 培养基底部有少量的白色菌丝 |
| 第3 d 3rd day | 培养基外壁1/3开始变绿 |
| 第4~5 d 4th day-5th day | 培养基内有部分有白色菌丝生成, 绿色生成物逐渐增多 |
| 第5~6 d 5th day-6th day | 绿色生成物继续增加, 并且颜色有所加深 |
| 第7 d 7th day | 培养基内容物完全变成纯绿色 |
| 菌种 Strains | 纤维素酶测定结果 Cellulase determination results(U/g) | ||
|---|---|---|---|
| 第5 d 5th day | 第8 d 8th day | 第11 d 11th day | |
| 黑曲霉 Aspergillus niger | 50.523±2.095 | 35.617±0.227 | 16.95±1.515 |
| 黄孢原毛平革+ 康宁木霉 Phanerochaete chrysosporium +Conning wood mold | 71.37±2.857 | 56.828±0.593 | 33.46±0.755 |
Tab.5 Results of cellulase production by solid-state fermentation of licorice residue
| 菌种 Strains | 纤维素酶测定结果 Cellulase determination results(U/g) | ||
|---|---|---|---|
| 第5 d 5th day | 第8 d 8th day | 第11 d 11th day | |
| 黑曲霉 Aspergillus niger | 50.523±2.095 | 35.617±0.227 | 16.95±1.515 |
| 黄孢原毛平革+ 康宁木霉 Phanerochaete chrysosporium +Conning wood mold | 71.37±2.857 | 56.828±0.593 | 33.46±0.755 |
| 菌种 Strains | 木聚糖酶测定结果 Xylanase determination results(U/g) | ||
|---|---|---|---|
| 第5 d 5th day | 第8 d 8th day | 第11 d 11th day | |
| 黑曲霉 Aspergillus niger | 77.056±2.462 | 54.063±1.588 | 13.97±0.609 |
| 黄孢原毛平革+ 康宁木霉 Phanerochaete chrysosporium +Conning wood mold | 74.11±4.547 | 45.188±0.838 | 11.34±0.653 |
Tab.6 Results of xylanase production by solid-state fermentation of licorice residue
| 菌种 Strains | 木聚糖酶测定结果 Xylanase determination results(U/g) | ||
|---|---|---|---|
| 第5 d 5th day | 第8 d 8th day | 第11 d 11th day | |
| 黑曲霉 Aspergillus niger | 77.056±2.462 | 54.063±1.588 | 13.97±0.609 |
| 黄孢原毛平革+ 康宁木霉 Phanerochaete chrysosporium +Conning wood mold | 74.11±4.547 | 45.188±0.838 | 11.34±0.653 |
| [1] | 尹德明, 单玉鑫. 大健康产业背景下中药渣资源化利用路径和技术模式的探讨[J]. 科技创新导报, 2018, 15(13): 96-100, 102. |
| YIN Deming, SHAN Yuxin. Discussion on the resource utilization path and technical model of Chinese medicine residue under the background of big health industry[J]. Science and Technology Innovation Herald, 2018, 15(13): 96-100, 102. | |
| [2] | 乙凯强. 甘草中活性成分连续提取纯化及多孔炭材料制备工艺研究[D]. 兰州: 兰州理工大学, 2021. |
| YI Kaiqiang. Preparation of Porous Carbon Materials and Continuous Extraction and Purification of Active Components in Licorice[D]. Lanzhou: Lanzhou University of Technology, 2021. | |
| [3] | 赵爽. 两种不同来源绿色木霉固态发酵及甘草药渣对玉米生长效应研究[D]. 保定: 河北大学, 2020. |
| ZHAO Shuang. Solid State Fermentation by Trichoderma Viride Isolated from Two Different Habitats and Growth Effects of Liquorice Residue on Zea Mays[D]. Baoding: Hebei University, 2020. | |
| [4] | 吴华, 张辉, 康愿. 饲料中添加甘草药渣对肉鸡生产性能的影响[J]. 当代畜牧, 2007,(11): 29-31. |
| WU Hua, ZHANG Hui,KANG Yuan. Effect of adding licorice residue to feed on production performance of broilers[J]. Contemporary Animal Husbandry, 2007,(11): 29-31. | |
| [5] | 吕丽静, 屈青松, 周晴, 等. 甘草药渣发酵工艺优化及成分分析、抗氧化活性的研究[J]. 中南药学, 2022, 20(10): 2312-2317. |
| LYU Lijing, QU Qingsong, ZHOU Qing, et al. Optimization of licorice residue fermentation and analysis of its compositions and antioxidant activity[J]. Central South Pharmacy, 2022, 20(10): 2312-2317. | |
| [6] | 关莹, 薛敏, 王伟. 饲用酶制剂在水产动物中应用的最新研究进展[J]. 中国渔业质量与标准, 2021, 11(1): 61-67. |
| GUAN Ying, XUE Min, WANG Wei. The latest research progress of feed enzyme preparation in aquatic animals[J]. Chinese Fishery Quality and Standards, 2021, 11(1): 61-67. | |
| [7] |
曾飞, 张森, 钱大玮, 等. 甘草药渣降解菌的筛选及其产酶工艺研究[J]. 生物技术通报, 2017, 33(12): 125-131.
DOI |
|
ZENG Fei, ZHANG Sen, QIAN Dawei, et al. Screening the strains degrading glycyrrhiz uralensis residues and its enzyme production[J]. Biotechnology Bulletin, 2017, 33(12): 125-131.
DOI |
|
| [8] | 李曼曼, 姚日生, 李凤和, 等. 中药丹皮残渣固态发酵产酶与糖化工艺的研究[J]. 安徽化工, 2010, 36(S1): 57-60. |
| LI Manman, YAO Risheng, LI Fenghe, et al. Production of cellulase from residues of the peony tree root bark by solid-state fermentation and the saccharification[J]. Anhui Chemical Industry, 2010, 36(S1): 57-60. | |
| [9] | 李鸿梅, 苗琇岩, 魏明, 等. 罗耳阿太菌的鉴定及生长曲线的测定[J]. 食品科技, 2014, 39(6): 35-39. |
| LI Hongmei, MIAO Xiuyan, WEI Ming, et al. Determination of Athelia rolfsii growth curve by glucose consumption[J]. Food Science and Technology, 2014, 39(6): 35-39. | |
| [10] | 郭凯. 黑曲霉HQYX产酶特性及其用作棉花秸秆发酵饲料添加剂的效果研究[D]. 乌鲁木齐: 新疆大学, 2019. |
| GUO Kai. Study on Enzyme Production Characteristics of Aspergillus Niger HQYX and Its Application as Feed Additive for Fermentation of Cotton Straw[D]. Urumqi: Xinjiang University, 2019. | |
| [11] | 李磊, 王卫国, 郭家瑞, 等. 几株灰树花菌株液态发酵产多糖性能的比较[J]. 河南工业大学学报(自然科学版), 2010, 31(2): 71-75. |
| LI Lei, WANG Weiguo, GUO Jiarui, et al. Comparison of polysaccharide producing capability of several strains of grifola frondosa by liquid fermentation[J]. Journal of Henan University of Technology (Natural Science Edition), 2010, 31(2): 71-75. | |
| [12] | 张聪聪. 黑曲霉固态发酵产纤维素酶条件优化及秸秆糖化研究[D]. 兰州: 兰州理工大学, 2020. |
| ZHANG Congcong. Optimization of Cellulase Production by Solid Fermentation of Aspergillus Niger and Study on Straw Saccharification[D]. Lanzhou: Lanzhou University of Technology, 2020. | |
| [13] | 王珂瑶. 黑曲霉Lys2369固体发酵产木聚糖酶条件优化及浅盘放大工艺研究[D]. 长沙: 湖南农业大学, 2019. |
| WANG Keyao. Study on Solid-State Fermentation Conditions and Enlargement of Xylanase Production by Aspergillus Niger Lys2369[D]. Changsha: Hunan Agricultural University, 2019. | |
| [14] | 岳鹍, 潘志恒, 孙勇民. 中药药渣发酵生产毛云芝菌漆酶培养基的工艺研究[J]. 食品与机械, 2015, 31(5): 47-50. |
| YUE Kun,PAN Zhiheng, SUN Yongmin. Optimization on culture medium for laccase production from Coriolus hirsutus by residues of traditional Chinese medicine[J]. Food & Machinery, 2015, 31(5): 47-50. | |
| [15] | 杨冰, 丁斐, 李伟东, 等. 中药渣综合利用研究进展及生态化综合利用模式[J]. 中草药, 2017, 48(2): 377-383. |
| YANG Bing, DING Fei, LI Weidong, et al. Research progress on comprehensive utilization of Chinese medicine residue and ecological comprehensive utilization pattern[J]. Chinese Traditional and Herbal Drugs, 2017, 48(2): 377-383. | |
| [16] | 尹守亮, 杨镒婴, 李秋园, 等. 一株高产纤维素酶真菌的分离与鉴定[J]. 纤维素科学与技术, 2022, 30(2): 9-18. |
| YIN Shouliang, YANG Yiying, LI Qiuyuan, et al. Isolation and identification of a high efficiency cellulose degrading fungus[J]. Journal of Cellulose Science and Technology, 2022, 30(2): 9-18. | |
| [17] | 赵龙妹, 张迎燕, 李旺, 等. 产木聚糖酶微生物的筛选鉴定及特性分析[J]. 家畜生态学报, 2022, 43(4): 14-20. |
| ZHAO Longmei, ZHANG Yingyan, LI Wang, et al. Screening, identification and characterization of xylanase-producing microorganisms[J]. Journal of Domestic Animal Ecology, 2022, 43(4): 14-20. | |
| [18] | Andlar M, Rezi T, Marđetko N, et al. Lignocellulose degradation: an overview of fungi and fungal enzymes involved in lignocellulose degradation[J]. Engineering in Life Sciences, 2018, 18(11): 768-778. |
| [19] |
杨彬, 李小波, 周林, 等. 同步分泌高效纤维素酶和木聚糖酶菌株YB的鉴定及其酶学性质研究[J]. 生物技术通报, 2020, 36(2): 110-118.
DOI |
|
YANG Bin, LI Xiaobo, ZHOU Lin, et al. Identification and enzymatic properties of strain YB simultaneously secreting highly efficient cellulase and xylanase[J]. Biotechnology Bulletin, 2020, 36(2): 110-118.
DOI |
|
| [20] | Shokrkar H, Ebrahimi S, Zamani M. A review of bioreactor technology used for enzymatic hydrolysis of cellulosic materials[J]. Cellulose, 2018, 25(11): 6279-6304. |
| [21] | 单丽君. 以柑橘皮为原料生产饲用复合酶的研究[D]. 杭州: 浙江大学, 2005. |
| SHAN Lijun. Utilization of Orange Peels: Multienzyme Production in Solid-state Fermentation[D]. Hangzhou: Zhejiang University, 2005. | |
| [22] | 田杰. 黑曲霉发酵藤茶对其主要活性物质的影响及产酶研究[D]. 贵阳: 贵州师范大学, 2021. |
| TIAN Jie. Effects of Aspergillus Niger Fermentation on the Main Active Substances of Ampelopsis Grossedentata and Its Enzyme Production[D]. Guiyang: Guizhou Normal University, 2021. | |
| [23] | 钱静亚, 张正沛, 季蓉蓉, 等. 3株真菌固态发酵产木质素降解酶的研究[J]. 江苏农业科学, 2017, 45(5): 277-280. |
| QIAN Jingya, ZHANG Zhengpei, JI Rongrong, et al. Study on solid-state fermentation of three fungi to produce lignin degrading enzymes[J]. Jiangsu Agricultural Sciences, 2017, 45(5): 277-280. | |
| [24] | 邱首哲, 曾飞, 张森, 等. 丹参药渣等不同类型中药固废发酵产纤维素酶研究[J]. 中国中药杂志, 2020, 45(4): 890-895. |
|
QIU Shouzhe, ZENG Fei, ZHANG Sen, et al. Fermentation of cellulase with multiple types of Salvia miltiorrhiza residues and other solid wastes from Chinese materia medica industrialization[J]. China Journal of Chinese Materia Medica, 2020, 45(4): 890-895.
DOI PMID |
|
| [25] | 夏强. 纤维素降解混合菌剂的构建及降解效能[D]. 哈尔滨: 哈尔滨工业大学, 2018. |
| XIA Qiang. Construction of Cellulose-degrading Compound Microbial Inoculum and Degradation Efficiency[D]. Harbin:Harbin Institute of Technology, 2018. | |
| [26] | 李静, 李明源, 王继莲, 等. 纤维素的微生物降解研究进展[J]. 食品工业科技, 2022, 43(9): 396-403. |
| LI Jing, LI Mingyuan, WANG Jilian, et al. Research progress on microbial degradation of cellulose[J]. Science and Technology of Food Industry, 2022, 43(9): 396-403. | |
| [27] | 张仲卿, 张爱忠, 姜宁. 混合真菌发酵对玉米秸秆纤维素与木质素降解率的影响[J]. 动物营养学报, 2019, 31(3): 1385-1395. |
| ZHANG Zhongqing, ZHANG Aizhong, JIANG Ning. Effects of mixed fungal fermentation on degradation rate of cellulose and lignin of corn straw[J]. Chinese Journal of Animal Nutrition, 2019, 31(3): 1385-1395. | |
| [28] | 王志, 陈雄, 王实玉, 等. 拟康氏木霉和白腐菌混菌发酵处理稻草秸秆的研究[J]. 可再生能源, 2009, 27(2): 36-39. |
| WANG Zhi, CHEN Xiong, WANG Shiyu, et al. Study on degradation of straw stalk by co-fermentation of Trichoderma pseudokoningii and Phanerochaete chrysosporium[J]. Renewable Energy Resources, 2009, 27(2): 36-39. |
| [1] | HE Tingting, WANG Xuzhe, SONG Lei, MA Chunhui. Effects of Different Additives on Quality and Aerobic Stability of Cyperus esculentus Silage [J]. Xinjiang Agricultural Sciences, 2022, 59(7): 1767-1775. |
| [2] | LIU Kang-yong, JIAO Yang, ZHAO Fu-xiang, LIU Na, CHEN Quan-jia, GAO Wen-wei, QU Yan-ying. Effects of Spraying TDZ on Leaf Loss Rate and Leaf Enzyme Activity of Cotton [J]. Xinjiang Agricultural Sciences, 2019, 56(6): 981-991. |
| [3] | GUO Kai, HOU Min, BAO Hui-fang, WANG Ning, ZHAN Fa-qiang, YANG Rong, YANG Wen-qi, LONG Xuan-qi, CUI Wei-dong. Study on Optimizing Liquid Fermentation Conditions of Aspergillus niger and Its Degradation Effect on Cotton Stalk with Double Indexes [J]. Xinjiang Agricultural Sciences, 2018, 55(11): 2122-2133. |
| Viewed | ||||||
|
Full text |
|
|||||
|
Abstract |
|
|||||