

新疆农业科学 ›› 2025, Vol. 62 ›› Issue (6): 1478-1487.DOI: 10.6048/j.issn.1001-4330.2025.06.020
敖羽1(
), 张健2, 徐斌2, 马燕2, 王黎明3, 张婷2(
), 包晓玮1(
)
收稿日期:2024-11-13
出版日期:2025-06-20
发布日期:2025-07-29
通信作者:
张婷(1980-),女,研究员,博士,研究方向为农产品贮运与加工,(E-mail)zhangtingkikie@163.com;作者简介:敖羽(1999-),女,硕士研究生,研究方向为食品加工与安全,(E-mail)15148434408@163.com
基金资助:
AO Yu1(
), ZHANG Jian2, XU Bin2, MA Yan2, WANG Liming3, ZHANG Ting2(
), BAO Xiaowei1(
)
Received:2024-11-13
Published:2025-06-20
Online:2025-07-29
Supported by:摘要:
【目的】提高大果沙棘枝条果脱粒过程中叶子的利用率,探寻其适宜的预处理及干燥方式,为生产中大果沙棘叶的产业化开发利用提供理论依据和数据支撑。【方法】以大果沙棘叶为试材,以不经预处理直接自然干燥为对照(CK),在系统评价超声(CS)预处理、烫漂(TP)预处理、超声+烫漂(CS+TP)预处理和渗透脱水(ST)预处理对其干燥效果基础上,结合自然(ZR)干燥、热风(RF)干燥、微波(WB)干燥和真空冷冻(LD)干燥方式,探究不同预处理结合干燥方式对沙棘叶干燥效率及生物活性物质的影响。【结果】大果沙棘叶经不同预处理自然干燥后,CS预处理效果较显著;CS预处理结合ZR、RF、WB和LD干燥对大果沙棘叶干燥效率和生物活性物质均有显著影响,其中CS预处理结合RF干燥方式效果最佳,可使大果沙棘叶干燥时间较CK缩短4倍,其中总黄酮、总酚、蛋白质、多糖和白雀木醇含量分别维持在41.07、29.56、30.66、3.53和22.14 mg/g。【结论】采用CS预处理RF干燥方式对大果沙棘叶进行规模化加工利用前处理。
中图分类号:
敖羽, 张健, 徐斌, 马燕, 王黎明, 张婷, 包晓玮. 预处理结合不同干燥方式对大果沙棘叶干燥效率及生物活性物质的影响[J]. 新疆农业科学, 2025, 62(6): 1478-1487.
AO Yu, ZHANG Jian, XU Bin, MA Yan, WANG Liming, ZHANG Ting, BAO Xiaowei. Effects of pretreatment combined with different drying methods on drying efficiency and bioactive substances of Seabuckthorn leaves[J]. Xinjiang Agricultural Sciences, 2025, 62(6): 1478-1487.
| 预处理 Pretreatment | 总黄酮 Total flavonoids (mg/g) | 总酚 Phenolics (mg/g) | 蛋白质 Protein (mg/g) | 多糖 Polysacoharide (mg/g) | 白雀木醇 Quebrachitol (mg/g) |
|---|---|---|---|---|---|
| CK | 34.23±1.01b | 22.19±0.19b | 24.83±0.50c | 1.29±0.02c | 10.34±0.09e |
| CS | 37.09±1.98a | 23.39±0.42a | 26.30±0.18a | 1.75±0.04a | 17.43±0.13a |
| TP | 34.45±0.66b | 22.46±0.18b | 25.52±0.43b | 1.49±0.03b | 13.40±0.14d |
| CS+TP | 35.77±0.66ab | 22.38±0.19b | 26.02±0.10ab | 1.34±0.02c | 15.59±0.17b |
| ST | 20.40±1.01c | 15.72±0.90c | 25.89±0.22ab | 1.72±0.04a | 14.10±0.12c |
表1 不同预处理下大果沙棘叶生物活性物质的变化
Tab.1 Effects of different pretreatment methods on bioactive substances in Seabuckthorn leaves
| 预处理 Pretreatment | 总黄酮 Total flavonoids (mg/g) | 总酚 Phenolics (mg/g) | 蛋白质 Protein (mg/g) | 多糖 Polysacoharide (mg/g) | 白雀木醇 Quebrachitol (mg/g) |
|---|---|---|---|---|---|
| CK | 34.23±1.01b | 22.19±0.19b | 24.83±0.50c | 1.29±0.02c | 10.34±0.09e |
| CS | 37.09±1.98a | 23.39±0.42a | 26.30±0.18a | 1.75±0.04a | 17.43±0.13a |
| TP | 34.45±0.66b | 22.46±0.18b | 25.52±0.43b | 1.49±0.03b | 13.40±0.14d |
| CS+TP | 35.77±0.66ab | 22.38±0.19b | 26.02±0.10ab | 1.34±0.02c | 15.59±0.17b |
| ST | 20.40±1.01c | 15.72±0.90c | 25.89±0.22ab | 1.72±0.04a | 14.10±0.12c |
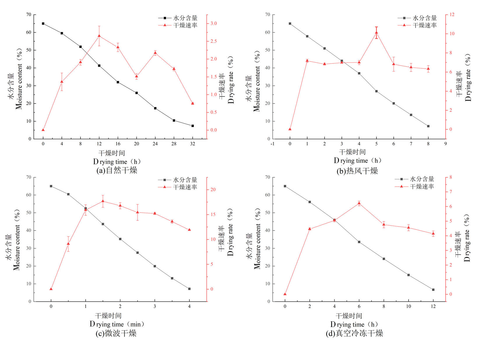
图2 超声处理结合不同干燥方式下大果沙棘叶干燥时间和干燥速率的变化
Fig. 2 Changes of ultrasonic combined with different drying methods on drying time and drying rate of Seabuckthorn leaves
图3 超声处理结合不同干燥方式下大果沙棘叶总黄酮含量的变化
Fig. 3 Changes of ultrasonic treatment combined with different drying methods on the content of total flavonoids in Seabuckthorn leaves
图4 超声处理结合不同干燥方式下大果沙棘叶总酚含量的变化
Fig 4 Changes of ultrasonic treatment combined with different drying methods on total phenol content of Seabuckthorn leaves
图7 超声结合不同干燥方式下大果沙棘叶白雀木醇含量的变化
Fig. 7 Changes of ultrasound combined with different drying methods on the content of quebrachitol in Seabuckthorn leaves
| [1] | 陈燕玲. 沙棘药用成分的研究及其活性初步探讨[D]. 无锡: 江南大学, 2017. |
| CHEN Yanling. Study on the medicinal components of Hippophae rhamnoides and preliminary study on their activities[D]. Wuxi: Jiangnan University, 2017. | |
| [2] | 郑文惠. 沙棘不同部位的代谢组学分析及抗炎活性研究[D]. 兰州: 兰州大学, 2020. |
| ZHENG Wenhui. Metabonomic analysis and anti-inflammatory activity of different parts of Hippophae rhamnoides L[D]. Lanzhou: Lanzhou University, 2020. | |
| [3] | 胡高爽, 高山, 王若桦, 等. 沙棘活性物质研究及开发利用现状[J]. 食品研究与开发, 2021, 42(3): 218-224. |
| HU Gaoshuang, GAO Shan, WANG Ruohua, et al. Research on development and utilization of active substances in seabuckthorn[J]. Food Research and Development, 2021, 42(3): 218-224. | |
| [4] | 高峰, 郭延丽, 刘巧, 等. 沙棘叶子研究利用综述[J]. 安徽农业科学, 2020, 48(10): 7-11. |
| GAO Feng, GUO Yanli, LIU Qiao, et al. Review on research and utilization of leaves from Hippophae rhamnoides L[J]. Journal of Anhui Agricultural Sciences, 2020, 48(10): 7-11. | |
| [5] | 杜晓兰, 王旭旭, 田旭阳, 等. 沙棘综合价值的研究进展[J]. 粮食与油脂, 2020, 33(5): 15-16. |
| DU Xiaolan, WANG Xuxu, TIAN Xuyang, et al. Research progress on comprehensive value of sea-buckthorn[J]. Cereals & Oils, 2020, 33(5): 15-16. | |
| [6] | Ciesarová Z, Murkovic M, Cejpek K, et al. Why is sea buckthorn (Hippophae rhamnoides L.) so exceptional?A review[J]. Food Research International, 2020, 133: 109170. |
| [7] | 洪道鑫, 张雨欣, 李轩豪, 等. 西藏沙棘叶黄酮类化学成分的研究[J]. 中药材, 2017, 40(4): 861-864. |
| HONG Daoxin, ZHANG Yuxin, LI Xuanhao, et al. Chemical constituents of flavonoids in leaves of Hippophae thibetana[J]. Journal of Chinese Medicinal Materials, 2017, 40(4): 861-864. | |
| [8] | Ma X Y, Yang W, Kallio H, et al. Health promoting properties and sensory characteristics of phytochemicals in berries and leaves of sea buckthorn (Hippophaë rhamnoides)[J]. Critical Reviews in Food Science and Nutrition, 2022, 62(14): 3798-3816. |
| [9] | 周浩楠, 胡娜, 董琦, 等. 沙棘化学成分及药理作用的研究进展[J]. 华西药学杂志, 2020, 35(2): 211-217. |
| ZHOU Haonan, HU Na, DONG Qi, et al. Research progress on the chemical composition and pharmacological action of Hippophae rhamnoides[J]. West China Journal of Pharmaceutical Sciences, 2020, 35(2): 211-217. | |
| [10] | 李月, 刘青, 王悦, 等. 沙棘叶的应用及现代研究进展[J]. 中国中药杂志, 2021, 46(6): 1326-1332. |
| LI Yue, LIU Qing, WANG Yue, et al. Application and modern research progress of sea buckthorn leaves[J]. China Journal of Chinese Materia Medica, 2021, 46(6): 1326-1332. | |
| [11] | Trivedi V L, Attri D C, Bahukhandi A, et al. Seabuckthorn (Hippophae salicifolia) leaves, a good source of natural antioxidant compounds[J]. National Academy Science Letters, 2022, 45(2): 195-198. |
| [12] | 沈琪, 李顺峰, 王安建, 等. 双孢菇废弃物菇柄热风干燥特性及动力学模型[J]. 中国食品学报, 2015, 15(1): 129-135. |
| SHEN Qi, LI Shunfeng, WANG Anjian, et al. Hot-air drying properties and kinetics model of Agaricus bisporus waste stipe[J]. Journal of Chinese Institute of Food Science and Technology, 2015, 15(1): 129-135. | |
| [13] | 谭宏渊, 凌玉钊, 黄丽琪, 等. 不同预处理对热风干燥山药片品质特性及微观结构的影响[J]. 食品工业科技, 2023, 44(20): 43-52. |
| TAN Hongyuan, LING Yuzhao, HUANG Liqi, et al. Effects of different pretreatment on the quality characteristics and microstructure of hot air dried yam slices[J]. Science and Technology of Food Industry, 2023, 44(20): 43-52. | |
| [14] | 李叶贝, 任广跃, 屈展平, 等. 燕麦马铃薯复合面条热风干燥特性及其数学模型研究[J]. 食品与机械, 2018, 34(1): 49-53, 208. |
| LI Yebei, REN Guangyue, QU Zhanping, et al. Hot air drying characteristics and mathematical model of oat potato compound noodles[J]. Food & Machinery, 2018, 34(1): 49-53, 208. | |
| [15] | Rojas M L, Augusto P E D, Cárcel J A. Ethanol pre-treatment to ultrasound-assisted convective drying of apple[J]. Innovative Food Science & Emerging Technologies, 2020, 61: 102328. |
| [16] | Ni J B, Ding C J, Zhang Y M, et al. Influence of ultrasonic pretreatment on electrohydrodynamic drying process of goji berry[J]. Journal of Food Processing and Preservation, 2020, 44(8): 1-16. |
| [17] | 苏海兰. 三种沙棘浆果及叶片多酚的提取及其抗氧化和抗HepG2细胞增殖活性[D]. 兰州: 甘肃农业大学, 2018. |
| SU Hailan. Extraction of polyphenols from berries and leaves of three seabuckthorn species and their antioxidant and anti-HepG2 cell proliferation activities[D]. Lanzhou: Gansu Agricultural University, 2018. | |
| [18] | 武海丽, 杜锦娥, 路洋洋, 等. 沙棘叶多酚的分离纯化及其活性分析[J]. 山西大学学报(自然科学版), 2023, 46(1): 236-243. |
| WU Haili, DU Jine, LU Yangyang, et al. Purification and activity analysis of polyphenols from Hippophae rhamnoides leaves[J]. Journal of Shanxi University (Natural Science Edition), 2023, 46(1): 236-243. | |
| [19] | 郭建峰, 郄浩然, 王芳, 等. 沙棘叶黄酮的提取纯化及组成分析[J]. 现代食品科技, 2022, 38(5): 189-198. |
| GUO Jianfeng, QIE Haoran, WANG Fang, et al. Extraction, purification and composition analysis of flavonoids from sea buckthorn leaves[J]. Modern Food Science and Technology, 2022, 38(5): 189-198. | |
| [20] | 王佳乐. 预处理方式对沙棘全果冻干粉的品质及功能性影响[D]. 沈阳: 沈阳农业大学, 2020. |
| WANG Jiale. Effect of pretreatment methods on quality and functionality of seabuckthorn jelly dry powder[D]. Shenyang: Shenyang Agricultural University, 2020. | |
| [21] | 马晓彤. 紫苏叶预处理联合微波干燥过程传质规律及气味分析[D]. 无锡: 江南大学, 2021. |
| MA Xiaotong. Mass transfer law and odor analysis during pretreatment of Perilla leaves combined with microwave drying[D]. Wuxi: Jiangnan University, 2021. | |
| [22] | Ren F, Perussello C A, Zhang Z, et al. Impact of ultrasound and blanching on functional properties of hot-air dried and freeze dried Onions[J]. LWT, 2018, 87: 102-111. |
| [23] | 刘启玲, 王庆卫, 崔胜文. 不同预处理方式对红枣热风-微波联合干燥品质特性及抗氧化活性的影响[J]. 食品研究与开发, 2020, 41(24): 124-130. |
| LIU Qiling, WANG Qingwei, CUI Shengwen. Effects of different pretreatment methods on quality characteristics and antioxidant activity of jujube drying by combined hot-air-microwave drying[J]. Food Research and Development, 2020, 41(24): 124-130. | |
| [24] | Choi S H, Ahn J B, Kim H J, et al. Changes in free amino acid, protein, and flavonoid content in jujube (Ziziphus jujube) fruit during eight stages of growth and antioxidative and cancer cell inhibitory effects by extracts[J]. Journal of Agricultural and Food Chemistry, 2012, 60(41): 10245-10255. |
| [25] | 李娜, 胡月月, 葛亮. 不同产地沙棘中总黄酮、总多酚含量测定及其抗氧化活性研究[J]. 化学与生物工程, 2021, 38(8): 64-68. |
| LI Na, HU Yueyue, GE Liang. Determination of contents of total flavonoids and total polyphenols in Hippophae rhamnoides L. from different origins and their antioxidant activity[J]. Chemistry & Bioengineering, 2021, 38(8): 64-68. | |
| [26] | Cao X M, Zhang Y, Zhang F S, et al. Effects of high hydrostatic pressure on enzymes, phenolic compounds, anthocyanins, polymeric color and color of strawberry pulps[J]. Journal of the Science of Food and Agriculture, 2011, 91(5): 877-885. |
| [27] | 宋永程. 沙棘多糖的提取、分离纯化及其对小鼠肠道菌群的调节作用[D]. 成都: 西华大学, 2022. |
| SONG Yongcheng. Extraction, separation and purification of Hippophae rhamnoides polysaccharide and its regulatory effect on intestinal flora in mice[D]. Chengdu: Xihua University, 2022. | |
| [28] | 徐亚, 范会芬, 赵玎玲, 等. 考马斯亮蓝法测定大豆水溶性蛋白提取方法的优化[J]. 大豆科学, 2022, 41(2): 196-202. |
| XU Ya, FAN Huifen, ZHAO Dingling, et al. Optimization of extraction method for water-soluble protein determination by coomassie bright blue method[J]. Soybean Science, 2022, 41(2): 196-202. | |
| [29] | 左蕾蕾, 邹丽霞, 向雪兰, 等. 碱法提取沙棘叶蛋白质工艺研究[J]. 食品科技, 2018, 43(5): 275-279. |
| ZUO Leilei, ZOU Lixia, XIANG Xuelan, et al. Extracting protein from seabuckthorn leaf by alkali extraction-acid precipitation[J]. Food Science and Technology, 2018, 43(5): 275-279. | |
| [30] | 陈阳, 孙代华, 江丹, 等. 响应面分析法优化艾叶药渣中白坚木皮醇乙醇提取工艺[J]. 中国食品添加剂, 2021, 32(9): 90-96. |
| CHEN Yang, SUN Daihua, JIANG Dan, et al. Optimization of quebrachitol ethanol extraction from folium Artemisiae argyi extraction dregs by response surface methodology(RSM)[J]. China Food Additives, 2021, 32(9): 90-96. | |
| [31] | 杨玉, 任广跃, 史亚楠, 等. 预处理对红薯叶热泵干燥品质的影响[J]. 食品与机械, 2020, 36(7): 206-210, 215. |
| YANG Yu, REN Guangyue, SHI Yanan, et al. Effects of different pretreatment on the quality of sweet potato leaves with heat pump drying[J]. Food & Machinery, 2020, 36(7): 206-210, 215. | |
| [32] | 付亚萍, 田雨琪, 牛佩海, 等. 果蔬微波干燥技术的研究进展与发展趋势[J]. 农机科技推广, 2023,(11): 49-51. |
| FU Yaping, TIAN Yuqi, NIU Peihai, et al. Research progress and development trend of microwave drying technology for fruits and vegetables[J]. Agriculture Machinery Technology Extension, 2023,(11): 49-51. | |
| [33] | 季蕾蕾, 木泰华, 孙红男. 不同干燥方式对甘薯叶片水分迁移、微观结构、色泽及复水性能影响的比较[J]. 食品科学, 2020, 41(11): 90-96. |
| JI Leilei, MU Taihua, SUN Hongnan. Comparative effect of different drying processes on mass migration, microstructure, color and rehydration property of sweet potato leaves[J]. Food Science, 2020, 41(11): 90-96. | |
| [34] | Soong Y Y, Barlow P J. Antioxidant activity and phenolic content of selected fruit seeds[J]. Food Chemistry, 2004, 88(3): 411-417. |
| [35] | 陶翠, 王捷, 姚玉军, 等. 沙棘中白雀木醇表征方法及其分布规律[J]. 北京林业大学学报, 2020, 42(1): 121-126. |
| TAO Cui, WANG Jie, YAO Yujun, et al. Characterization and distribution rule of quebrachitol in Hippophae rhamnoides[J]. Journal of Beijing Forestry University, 2020, 42(1): 121-126. | |
| [36] | 陈文敏, 彭星星, 马婷, 等. 超声处理对中短波红外干燥红枣时间及品质的影响[J]. 食品科学, 2015, 36(8): 74-80. |
| CHEN Wenmin, PENG Xingxing, MA Ting, et al. Impact of ultrasonic treatment on drying time and quality of red jujubes dried by medium- and short-wavelength infrared radiation[J]. Food Science, 2015, 36(8): 74-80. | |
| [37] | 刘云宏, 苗帅, 孙悦, 等. 接触式超声强化热泵干燥苹果片的干燥特性[J]. 农业机械学报, 2016, 47(2): 228-236. |
| LIU Yunhong, MIAO Shuai, SUN Yue, et al. Drying characteristics of apple slices during contact ultrasound reinforced heat pump drying[J]. Transactions of the Chinese Society for Agricultural Machinery, 2016, 47(2): 228-236. | |
| [38] | Osae R, Essilfie G, Alolga R N, et al. Application of non-thermal pretreatment techniques on agricultural products prior to drying: a review[J]. Journal of the Science of Food and Agriculture, 2020, 100(6): 2585-2599. |
| [39] | 田伏锦, 刘云宏, 黄隽妍, 等. 马铃薯超声强化冷风干燥及品质特性[J]. 食品科学, 2019, 40(5): 85-94. |
| TIAN Fujin, LIU Yunhong, HUANG Junyan, et al. Drying characteristics and quality of potato slices subjected to ultrasound-assisted cold air drying[J]. Food Science, 2019, 40(5): 85-94. | |
| [40] | Paramanandam V, Jagadeesan G, Muniyandi K, et al. Comparative and variability analysis of different drying methods on phytochemical, antioxidant and phenolic contents of Ficus auriculata Lour. Fruit[J]. Phytomedicine Plus, 2021, 1(3): 100075. |
| [41] | 李翠丽, 冀晓龙, 许芳溢, 等. 干燥方式对梨枣粉品质特性的影响[J]. 中国食品学报, 2014, 14(12): 121-127. |
| LI Cuili, JI Xiaolong, XU Fangyi, et al. Effect of drying treatment methods on the quality properties of pear jujube power[J]. Journal of Chinese Institute of Food Science and Technology, 2014, 14(12): 121-127. |
| [1] | 贾文婷, 李文绮, 杨慧, 李自芹, 金新文. 不同预处理对红枣热风微波耦合干燥特性及品质的影响[J]. 新疆农业科学, 2025, 62(5): 1179-1190. |
| [2] | 宋雯雯, 陈卓, 李鑫, 陈俐静, 舒展, 李紫仟, 郭雪萍, 叶倩文, 马雪连, 苏战强, 姚刚. 准噶尔双峰驼驼乳营养与功能成分与荷斯坦牛乳的差异比较分析[J]. 新疆农业科学, 2023, 60(1): 234-241. |
| [3] | 胡文冉, 杨洋, 李波, 郝晓燕, 赵准, 邵武奎, 黄全生. 化学预处理与傅里叶变换红外光谱相结合分析棉花纤维细胞壁组分[J]. 新疆农业科学, 2022, 59(2): 261-268. |
| [4] | 吴小媚, 袁延平, 魏肖如, 曹福祥, 陈己任, 吕长平, 李玉帆. 预处理及培养方法协同作用对新铁炮百合种子萌发的影响[J]. 新疆农业科学, 2020, 57(7): 1276-1286. |
| [5] | 徐庚, 王庆惠, 马月虹, 郭辉, 杨忠强, 谢知轩. 不同干燥工艺对恰玛古制干特性的影响[J]. 新疆农业科学, 2019, 56(10): 1869-1878. |
| [6] | 宋金利;李华;石庆华;罗星. 提高玉米秸秆纤维素酶解率的预处理研究[J]. , 2011, 48(5): 810-815. |
| [7] | 邓辉;李春;李飞;陈计峦. 稀酸预处理棉花秸秆糖化工艺条件的研究[J]. , 2009, 46(3): 610-614. |
| 阅读次数 | ||||||
|
全文 |
|
|||||
|
摘要 |
|
|||||