新疆农业科学 ›› 2025, Vol. 62 ›› Issue (6): 1328-1336.DOI: 10.6048/j.issn.1001-4330.2025.06.004

• 作物遗传育种·耕作栽培·生理生化 • 上一篇    下一篇

花前干旱和矮壮素浓度对冬小麦光合特性及产量形成的影响

丁银灯(), 范贵强, 高永红, 黄天荣, 周安定, 吴新元, 方辉()   

  1. 新疆维吾尔自治区农业科学院作物研究所,乌鲁木齐 830091
  • 收稿日期:2024-11-05 出版日期:2025-06-20 发布日期:2025-07-29
  • 通信作者: 方辉(1988-),男,河南信阳人,副研究员,硕士,研究方向为小麦遗传育种与栽培,(E-mail)13179911060@163.com
  • 作者简介:丁银灯(1992-),男,河南周口人,助理研究员,硕士,研究方向为小麦遗传育种与栽培,(E-mail)1457676749@qq.com
  • 基金资助:
    国家农业生物育种重大专项子课题“新疆麦区超高产广适小麦新品种培育”(2023ZD040230310);国家农业生物育种重大专项子课题“超高产中早熟小麦新材料创制与利用”(2023ZD040230205);新疆维吾尔自治区2022年“揭榜挂帅”攻关项目“南疆早熟、高产、优质冬小麦新品种选育及关健核心技术攻关”;新疆维吾尔自治区小麦产业技术体系

Effects of pre-flowering drought and gibberellin concentration on photosynthetic characteristics and yield formation in winter wheat

DING Yingdeng(), FAN Guiqiang, GAO Yonghong, HUANG Tianrong, ZHOU Anding, WU Xinyuan, FANG Hui()   

  1. Institute of Cash Crops, Xinjiang Urgur Autonomous Region Academy of Agricultural Sciences, Urumqi 830091, China
  • Received:2024-11-05 Published:2025-06-20 Online:2025-07-29
  • Supported by:
    National Major Special Project for Agricultural Biological Breeding, Sub-project "Cultivation of Ultra-high Yield and Widely Adaptable New Wheat Varieties in Xinjiang Wheat Region"(2023ZD040230310);National Major Special Project for Agricultural Biological Breeding, Sub-project "Creation and Utilization of New Materials for Medium-early Maturing High-yield Wheat"(2023ZD040230205);2022 “Unviling and Revealing Leadership" Project of Department of Agriculure and Rural Affairs of Xinjiang Uygur Autonomous Region "Selection and Key Core Technology Research on Early Maturing, High - yield, High - quality Winter Wheat in Southern Xinjiang";Wheat Industry Technology System Project of Xinjiang Uygur Autonomous Region

摘要:

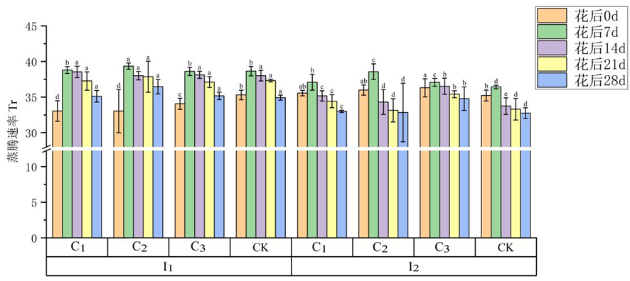
【目的】探明干旱胁迫下植物生长调节剂对冬小麦的影响作用机制,为提高水分利用效率提供依据。【方法】采用双因素裂区试验设计,设2个水分处理:苗期干旱胁迫(正常灌水量的25%,记为I1)和拔节期干旱胁迫(正常灌水量的25%,记为I2),设置1.67、2.22和3.33 g/L三个矮壮素浓度梯度(分别以C1、C2和C3表示),以清水(CK)为对照,分析不同灌水干旱胁迫下叶面喷施矮壮素对冬小麦光合特性、干物质积累和转运及产量的影响。【结果】两种灌水处理下,拔节期干旱胁迫使得孕穗期冬小麦旗叶叶面积、单株叶面积显著降低87.73%和65.40%,花后冬小麦旗叶的Pn值、Tr值降低,Ci浓度上升,同时生殖生长时间缩短,光合产物积累和转运量下降,冬小麦穗数、穗粒数和千粒重降低,最终导致产量下降达40.28%。叶面喷施矮壮素后可削弱干旱胁迫对冬小麦产量减少的负面影响,C2、C3浓度下,冬小麦的旗叶叶面积、单株叶面积上升;叶面喷施矮壮素溶液能够增强冬小麦光合作用,延缓植株衰老,两种处理下花后旗叶光合速率峰值在C1、C2和C3浓度下分别比CK高出28.62%、36.23%、34.19%和21.62%、21.27%、45.87%,光合速率产生的峰值至生育末期下降幅度减小;矮壮素处理下成熟期营养器官干重、干物质转运量和转运率均上升,且均以C2浓度下各指标达到最高;两种灌水处理下C1、C2和C3浓度矮壮素处理的小麦产量分别比CK增加了0.32%、16.08%、11.75%和4.52%、23.60%、6.42%。【结论】综合灌水处理和矮壮素浓度,干旱胁迫对小麦穗数、穗粒数和千粒质量降低,进而导致产量下降,在冬小麦花前干旱胁迫下,以拔节期干旱胁迫对产量的影响更大;外源施加矮壮素均可以不同程度改善干旱胁迫条件对小麦造成的不利影响,其中2.22 g/L浓度效果最佳。

关键词: 花前干旱; 冬小麦; 矮壮素; 光合; 产量

Abstract:

【Objective】 To elucidate the mechanism of action of plant growth regulators under drought stress on winter wheat and address the issues of uneven distribution of water resources and low water use efficiency in agricultural production. 【Methods】 A split-plot experiment design was adopted, with two water treatments: seedling stage drought stress (25% of normal irrigation amount, denoted as I1) and jointing stage drought stress (25% of normal irrigation amount, denoted as I2). Three concentrations of chlormequat (1.67, 2.22, 3.33 g/L) were set up (denoted as C1, C2, C3), with water (CK) as the control. The effects of foliar application of chlormequat on the photosynthetic characteristics, dry matter accumulation and transport, and yield of winter wheat under different irrigation drought stresses were analyzed. 【Results】 Under both irrigation treatments, jointing stage drought stress significantly reduced the flag leaf area and individual plant leaf area by 87.73% and 65.40%, respectively. After anthesis, the Pn value and Tr value of winter wheat flag leaves decreased, Ci concentration increased, reproductive growth time was shortened, and the accumulation and transfer of photosynthate decreased. This led to a decrease in the number of spikes, grains per spike, and thousand-grain weight, ultimately resulting in a yield reduction of 40.28%. Foliar application of chlormequat mitigated the negative impact of drought stress on winter wheat yield reduction. Under C2 and C3 concentrations, the flag leaf area and individual plant leaf area of winter wheat increased; chlormequat solution enhanced the photosynthesis of winter wheat and delayed plant senescence. Under both treatments, the peak photosynthetic rate after anthesis was higher than CK by 28.62%, 36.23%, 34.19%, and 21.62%, 21.27%, 45.87% for C1, C2, C3 concentrations, respectively. The decline in photosynthetic rate from peak to end of the growing period was reduced; under chlormequat treatment, the dry weight of mature vegetative organs, dry matter translocation amount, and translocation rate all increased, with the highest values reached under C2 concentration. Under both irrigation treatments, the yields of wheat treated with C1, C2, C3 concentrations of chlormequat increased by 0.32%, 16.08%, 11.75%, and 4.52%, 23.60%, 6.42%, respectively, compared to CK. 【Conclusion】 Combining irrigation treatment and chlormequat concentration, drought stress reduces the number of spikes, grains per spike, and thousand-grain weight, thus leading to a decline in yield. Pre-flowering drought stress has a greater impact on yield, especially during the jointing stage. Exogenous application of chlormequat can improve the adverse effects of drought stress on wheat to varying degrees, with the best results observed at a concentration of 2.22 g/L.

Key words: pre-flowering drought; winter wheat; paclobutrazol; photosynthesis; yield

中图分类号: 


ISSN 1001-4330 CN 65-1097/S
邮发代号:58-18
国外代号:BM3342
主管:新疆农业科学院
主办:新疆农业科学院 新疆农业大学 新疆农学会

出版单位:《新疆农业科学》编辑部
地址:乌鲁木齐市南昌路403号新疆农业科学院
邮编:830091
电话:0991-4502046
E-mail:xjnykx-h@xaas.ac.cn


版权所有 © 《新疆农业科学》编辑部
本系统由北京玛格泰克科技发展有限公司设计开发
总访问量: 今日访问: 在线人数:
网站
微信公众号
淘宝购买
微店购买