

Xinjiang Agricultural Sciences ›› 2022, Vol. 59 ›› Issue (5): 1135-1143.DOI: 10.6048/j.issn.1001-4330.2022.05.012
• Horticultural Special Local Products • Previous Articles Next Articles
XU Bin1(
), Atawula Tiemur1, ZHANG Ting1, PAN Yan1, ZHANG Lianwen2,3(
), XIE Xiaoding2
Received:2021-12-02
Online:2022-05-20
Published:2022-06-09
Correspondence author:
ZHANG Lianwen
Supported by:
徐斌1(
), 阿塔吾拉·铁木尔1, 张婷1, 潘俨1, 张连文2,3(
), 谢晓定2
通讯作者:
张连文
作者简介:徐斌(1985-),男,河南南阳人,助理研究员,研究方向为农产品贮藏保鲜,(E-mail) 978142325@qq.com
基金资助:CLC Number:
XU Bin, Atawula Tiemur, ZHANG Ting, PAN Yan, ZHANG Lianwen, XIE Xiaoding. Effects of Different Temperatures on the Fruit Softening of Xizhoumi No. 25 Hami Melon during Storage[J]. Xinjiang Agricultural Sciences, 2022, 59(5): 1135-1143.
徐斌, 阿塔吾拉·铁木尔, 张婷, 潘俨, 张连文, 谢晓定. 不同贮藏温度对西州密25号哈密瓜果实软化的影响[J]. 新疆农业科学, 2022, 59(5): 1135-1143.
Add to citation manager EndNote|Ris|BibTeX
URL: https://www.xjnykx.com/EN/10.6048/j.issn.1001-4330.2022.05.012
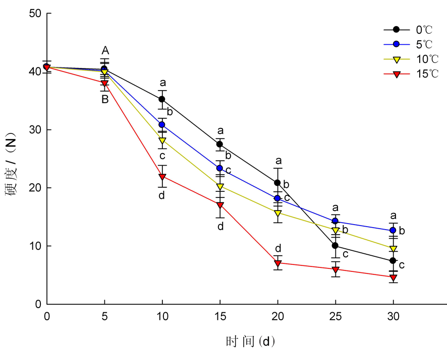
Fig.2 The effect of different temperature on pulp firmness Note:The different majuscule expression the experimental data has significant difference (P<0.05), The different minuscule expression the experimental data has extremely significant difference (P<0.01),the same as below
| 硬度 Hardness | 呼吸强度 Respiration intensity | 果胶酶 Pectinase | 纤维素酶 Cellulase | β-半乳糖苷酶 β-galactosidase | 多聚半乳糖醛酸酶 Polygalacturonase | |
|---|---|---|---|---|---|---|
| 硬度Hardness | 1 | -0.352 | -0.616** | -0.820** | -0.882** | -0.594** |
| 呼吸强度Respiration intensity | -0.352 | 1 | 0.274 | 0.574** | 0.470* | 0.519** |
| 果胶酶Pectinase | -0.616** | 0.274 | 1 | 0.621** | 0.600** | 0.379* |
| 纤维素酶Cellulase | -0.820** | 0.574** | 0.621** | 1 | 0.809** | 0.632** |
| β-半乳糖苷酶β-galactosidase | -0.882** | 0.470* | 0.600** | 0.809** | 1 | 0.684** |
| 多聚半乳糖醛酸酶Polygalacturonase | -0.594** | 0.519** | 0.379* | 0.632** | 0.684** | 1 |
Table 1 Correlation(R) matrix between fruit firmness and respiration intensity, enzymes activities of cell wall
| 硬度 Hardness | 呼吸强度 Respiration intensity | 果胶酶 Pectinase | 纤维素酶 Cellulase | β-半乳糖苷酶 β-galactosidase | 多聚半乳糖醛酸酶 Polygalacturonase | |
|---|---|---|---|---|---|---|
| 硬度Hardness | 1 | -0.352 | -0.616** | -0.820** | -0.882** | -0.594** |
| 呼吸强度Respiration intensity | -0.352 | 1 | 0.274 | 0.574** | 0.470* | 0.519** |
| 果胶酶Pectinase | -0.616** | 0.274 | 1 | 0.621** | 0.600** | 0.379* |
| 纤维素酶Cellulase | -0.820** | 0.574** | 0.621** | 1 | 0.809** | 0.632** |
| β-半乳糖苷酶β-galactosidase | -0.882** | 0.470* | 0.600** | 0.809** | 1 | 0.684** |
| 多聚半乳糖醛酸酶Polygalacturonase | -0.594** | 0.519** | 0.379* | 0.632** | 0.684** | 1 |
| [1] | 张瑞, 廖新福, 杨军, 等. 优质哈密瓜新品种西州密25号的选育[J]. 中国瓜菜, 2012, 25(3):20-23. |
| ZHANG Rui, LIAO Xinfu, YANG Jun, et al. Breeding of a New Hami Melon Variety “Xizhoumi No.25”[J]. China Cucurbits and Vegetables, 2012, 25(3):20-23. | |
| [2] | 于蓉, 田梅, 董瑞, 等. 网纹甜瓜新品种比较试验[J]. 北方园艺, 2014, (18):60-62. |
| YU Rong, TIAN Mei, DONG Rui, et al. Comparative Test of New Netted Melon[J]. Northern Horticulture, 2014(18):60-62. | |
| [3] | 刘同业, 张婷, 车凤斌, 等. 不同贮藏温度下西州密25号哈密瓜果实冷害生理的研究[J]. 新疆农业科学, 2015, 52(1):26-32. |
| LIU Tongye, ZHAGN Ting, CHE Fengbin, et al. Studies on Chilling Injury Physiology of Xizhoumi No.25 Hami Melon Fruits at Different Storage Temperatures[J]. Xinjiang Agricultural Sciences, 2015, 52(1):26-32. | |
| [4] | 石玲, 吴斌, 敬媛媛, 等. 一氧化氮熏蒸处理对甜瓜采后细胞壁代谢及黑斑病控制的影响[J]. 食品科学, 2019, 40(23):239-245. |
| SHI Lin, WU Bin, JING Yuanyuan, et al. Effects of nitric oxide fumigation on postharst cell wall metabolism and black spot control of Melon[J]. Food Science, 2019, 40(23):239-245. | |
| [5] |
NIkolic M V, Mojovic L. Hydrolysis of apple pectin by the coordinated activity of pecticenzymes[J]. Food Chemistry, 2007, 101:1-9.
DOI URL |
| [6] | 杨盛, 白牡丹, 郝国伟, 等. “玉露香梨”果实发育中细胞壁组分和水解酶活性的变化[J]. 中国南方果树, 2019, 48(2):110-115. |
| YANG Sheng, BAI Mudan, HAO Guowei, et al. Changes of cell wall components and hydrolase activity during fruit development of “Yulu Fragrant Pear”[J]. South China Fruits, 2019, 48(2):110-115. | |
| [7] | 李三培, 华德平, 高星, 等. 不同类型甜瓜成熟过程中果肉质地及其细胞显微结构的变化[J]. 西北植物学报, 2017, 37(6):1118-1125. |
| LI Sanpei, HUA Deping, GAO Xing, et al. Variation Characteristics of Flesh Texture and Cell Microstructure of Different Types of Melon during Ripening[J]. Acta Botanica Boreali-Occidentalia Sinica, 2017, 37(6):1118-1125. | |
| [8] | 程园, 李灿婴, 侯佳宝, 等. 采后硝普钠处理对南果梨果实贮藏品质和细胞壁降解酶的影响[J]. 食品科学, 2020, 41(1):252-257. |
| CHENG Yuan, LI Canying, HOU Jiabao, et al. Effect of Postharvest Sodium Nitroprusside Treatment on the Storage Quality and Cell Wall Degrading Enzymes of Nanguo Pears[J]. Food Science, 2020, 41(1):252-257. | |
| [9] | 陈鸥, 吴雪莹, 邓丽莉, 等. 1-甲基环丙烯处理对采后李果实硬度变化的影响机制[J]. 食品科学, 2020, 41(3):185-191. |
| CHEN Ou, WU Xueying, DENG Lili, et al. Effect of 1-Methylcyclopropene Treatment on Firmness Change of Postharvest Plum Fruit and Underlying Mechanism[J]. Food Science, 2020, 41(3):185-191. | |
| [10] | 张婷, 陈娟, 潘俨, 等. 不同贮藏温度对采后86-1哈密瓜果实冷害及品质的影响[J]. 食品工业科技, 2015, 36(3):345-348. |
| ZHANG Ting, CHEN Juan, PAN Yan, et al. Influence on chilling injury and quality of postharvest 86-1 Hami melon (Cucumis melonL.) fruit under different storage temperatures[J]. Science and Technology of Food Industry, 2015, 36(3):345-348. | |
| [11] | 张婷, 车凤斌, 潘俨, 等. 哈密瓜果实耐冷性与细胞壁脂肪酸的关系[J]. 园艺学报, 2015, 42(12):2421-2428. |
| ZHANG Ting, CHE Fengbin, PAN Yan, et al. Relationship Between Chilling Tolerance and Membrane Fatty Acids of Hami Melon[J]. Acta Horticulturae Sinica, 2015, 42(12):2421-2428. | |
| [12] | 刘翔, 张平, 徐伟欣, 等. TPA测试条件对甜瓜质构参数的影响[J]. 中国蔬菜, 2015,(3):38-44. |
| LIU Xiang, ZHANG Ping, XU Weixin, et al. Effect of Experimental Conditions in TPA on Melon Textural Property[J]. China Vegetables, 2015,(3):38-44. | |
| [13] |
Li X, Bi Y, Wang J J, et al. BTH treatment caused physiological, biochemical and proteomic changes of muskmelon (Cucumis melo L.) fruit during ripening[J]. Journal of Proteomics, 2015, 120:179-193.
DOI URL |
| [14] | 张鹏龙, 陈复生, 杨宏顺, 等. 果实成熟软化过程中细胞壁降解研究进展[J]. 食品科技, 2010, 35(11):62-66. |
|
ZHANG Penglong, CHEN Fusheng, YANG Hongshun, et al. Research advances on cell wall disassembly in fruit ripening and softening[J]. Food Science and Technology, 2010, 35(11):62-66.
DOI URL |
|
| [15] | 何俊瑜, 任艳芳, 陈元有, 等. 一氧化氮对常温贮藏下芒果果实软化和细胞壁代谢酶的影响[J]. 食品工业科技, 2018, 39(17):269-275. |
| HE Junyu, REN Yanfang, CHEN Yuanyou, et al. Effect of Nitric Oxide on Softening and Cell Wall Metabolism of Postharvest Mango[J]. Science and Technology of Food Industry, 2018, 39(17):269-275. | |
| [16] |
Hou Yuanyuan, Wu Fang, Zhao Yating, et al. Cloning and expression analysis of polygalacturonase and Pectin methylesterase genes during softening in apricot (Pruuns armeniaca L.) fruit[J]. Scientia Horticulturae, 2019, 256:108607.
DOI URL |
| [17] |
金昌海, 水野雅史, 阚娟, 等. 不同品种苹果采后后熟软化过程中细胞壁多糖的降解[J]. 植物生理与分子生物学学报, 2006, 32(6):617-626.
PMID |
|
JIN Changhai, MIZUNO Masashi, KAN Juan, et al. Degradation of Cell Wall Polysaccharides during Postharvest Fruit Ripening and Softening of Different Apple Varieties[J]. Journal of Plant Physiology and Molecular Biology, 2006, 32(6):617-626.
PMID |
|
| [18] | 李天来, 吕双双, 许传强, 等. 钙在乙烯促进网纹甜瓜果实软化过程中的作用[J]. 园艺学报, 2009, 36(6):821-828. |
| LI Tianlai, LÜ Shuangshuang, XU Chuanqiang, et al. Effects of Calcium on Ethylene promoted Muskmelon Soften[J]. Acta Horticulturae Sinica, 2009, 36(6):821-828. | |
| [19] | Zhou Ran, Wang Xichang, Hu Yunsheng, et al. Reduction in Hami melon(Cucumis melon var.saccharinus) softening caused by transport vibration by using hot water and shellac coating[J]. Postharvest Biology and Technology, 2015, 22(8):214-223. |
| [20] |
Lignou S, Parker J K, Baxter C, et al. Sensory and instrumental analysis of medium and long shelf-life Charentais cantalouPe melons(Cucumis melo L.) harvested at different maturities[J]. Food Chemistry, 2014, 148:218-229.
DOI URL |
| [21] |
Dossantos N, A Jiménez Araujo, R Rodríguez Arcos, et al. Cell wall polysacharides of near-isogenic lines of melon (Cucumis melo L.) and their inbred parentals which show differential flesh firmness or physiological behaviuor[J]. Agricultural and Food Chemistry, 2011, 59:7773-7784.
DOI URL |
| [22] | 高星. 不同质构甜瓜果实成熟软化分子机制研究[D]. 天津: 天津大学, 2016. |
| GAO Xing. Study on Molecular Mechanism during Riping of Melons(Cucumis melo L.)with Different Textural Properties[D]. Tianjin: Tianjin University, 2016. | |
| [23] | 张敏, 王爱玲, 杨军, 等. 甜瓜‘黄醉仙’果实采后软化过程中细胞壁水解酶的变化[J]. 西北农林科技大学学报(自然科学版), 2015, 43(4):113-117. |
| ZHANG Min, WANG Ailing, YAGN Jun, et al. Changs of cell wall degrading enzymes during post-harvest softening of melon ‘Huangzuixian’[J]. Journal of Northwest A&F University, 2015, 43(4):113-117. | |
| [24] |
Chen H J, Cao S F, Fang X J, et al. Changes in fruit firmness, cell wall composition and cell wall degrading enzymes in postharvest blueberries during storage[J]. Scientia Horticulturae, 2015, 188:44-48.
DOI URL |
| [25] | Gomes M H, Fundo J, Obando-Ulloa J M, et al. The genetic background of quality and cell wall changes infresh-cut melons[J]. Acta Horticulturae, 2010, 877:1011-1018. |
| [26] |
Bhadrecha P, Bala M, Khasa Y P, et al. Hippophae rhamnoidesL.rhizobacteria exhibit diversified cellulase and pectinase activities[J]. Physiology and Molecular Biology of Plants, 2020, 26(6):1075-1085.
DOI URL |
| [27] |
Lin Y, Lin Y, Lin H, et al. Effects of paper containing 1-MCP postharvest treatment on the disassembly of cell wall polysaccharides and softening in Younai plum fruit during storage[J]. Food Chemistry, 2018, 264:1-8.
DOI URL |
| [28] | Zhang T, Zhang Q, Pan Y, et al. Changes of polyamines and CBFs expressions of two Hami melon (Cucumis melo L.) cultivars during low temperature storage[J]. Scientia Horticulture, 2017,(224):8-16. |
| [29] |
Sallanon, Huguette, Charles, et al. Heat treatment and active packaging to improve the storage of fresh-cut melons (Cucumis melo L.)[J]. Fruits, 2016, 71(1):9-15.
DOI URL |
| [30] | Steiner E M, Lyngs J, Guy J E, et al. The Structure of the N-terminal Module of the Cell Wall Hydrolase RipA and its Role in Regulating Catalytic Activity.[J]. Proteins: Structure, Function, and Bioinformatics, 2018, 86: 912-923. |
| [1] | QIAO Yajie, FU Huixin, QIAO Xue, MENG Xintao, ZHANG Ting, PAN Yan. Study on the variation of fresh beef quality under different storage temperature conditions [J]. Xinjiang Agricultural Sciences, 2024, 61(9): 2323-2329. |
| [2] | LI Hui, BI Ying, WANG Xinyu, LEI Yaxin, ZHANG Qi, HUANG Shuai, Rezha kuwangdeke, WANG Jing. Effects of regulation of walnut green peel polyphenols on postharvest active oxygen metabolism and reduction of rotten in Hami melon [J]. Xinjiang Agricultural Sciences, 2024, 61(12): 2966-2975. |
| [3] | TIAN Jingyu, GAO Yan, GAO Xingwang, ZENG Jun, ZHAO Pengan, Subinuer Julaiti. Analysis of rhizospheric bacterial community structure and diversity of Hami melon under field cultivation [J]. Xinjiang Agricultural Sciences, 2023, 60(5): 1253-1262. |
| [4] | XU Bin, ZHANG Ting, PAN Yan, WANG Ziming, ZHANG Lianwen, XIE Xiaoding. The Effect on Texture Quality of Simulation Transport Vibration with Different Stacking Heights of Hami melon [J]. Xinjiang Agricultural Sciences, 2022, 59(9): 2130-2135. |
| [5] | YAN Miao, XIONG Tao, HUANG Quansheng, WU Ting, WU Haibo, ZHAO Zhun, HU Guozhi. Effect of Exogenous Salicylic Acid(SA)on the Leaf Anatomical Structure of Hami Melon under NaCl Stress [J]. Xinjiang Agricultural Sciences, 2022, 59(9): 2123-2129. |
| [6] | JI Feng, LI Zhiyuan, SHANG Zhiyong, ZHANG Lianwen. Effects of Vibration on Mechanical Damage and Storage Quality of Hami Melon during Transportation [J]. Xinjiang Agricultural Sciences, 2022, 59(2): 458-465. |
| [7] | LI Ya-li, ZHANG Yan, HU Guo-zhi, Haliha Yibati, ZHAI Wen-qiang, LI Qing-jun. Effects of New Urea on Yield, Quality and Nitrogen Fertilizer Utilization of Hami Melon in Xinjiang [J]. Xinjiang Agricultural Sciences, 2018, 55(10): 1888-1894. |
| [8] | HAN Hong-wei;SHE Jian-hua;WANG Qiang;ZHUANG Hong-mei;HU Bai-wen;FENG Hong-ying;WANG Hao. Salinity-alkalinity Tolerance of Different Hami Melon Cultivars at Germination Stage [J]. , 2017, 54(3): 442-451. |
| [9] | XU Bin;CHE Feng-bin;PAN Yan;ZHANG Ting;ZHANG Hui;WU Ji-lin. Effects of Simulated Transport Vibration on the Texture Quality of Hami Melon at Different Stacking Heights [J]. , 2017, 54(2): 243-253. |
| [10] | MAO Liang, JI Yan-ling, ZHANG Juan, WANG Xuan-cang, PAN Wei-ping, ZHANG Yi-he, WANG Xiao-dong. A Preliminary Study on Resistance of Hami Melon Varieties to Acidovorax avenae subsp. citrulli in Turpan Area [J]. Xinjiang Agricultural Sciences, 2017, 54(11): 2054-2059. |
| [11] | ZHANG Ting, PAN Yan, MENG Xin-tao, ZHENG Su-hui, XU Bin. Cloning and Expression Analysis of a CRT/DRE-binding Factor Gene CmCBF1 from Hami Melon Fruit [J]. Xinjiang Agricultural Sciences, 2017, 54(10): 1765-1774. |
| [12] | HU Jin-ge;YANG Mi;YANG Ying;SHA Yong-long;YANG Jun;LIAO Xin-fu. Physiological Change in Hami Melon Seedling under Low Temperature [J]. , 2016, 53(8): 1409-1414. |
| [13] | DU Juan;LIAO Xin-fu;Rebiguli;ZHANG Min;YAO Jun;XU Chang. Effect of Pre-cooling on Postharvest Quality of Melons [J]. , 2016, 53(5): 812-819. |
| [14] | HU Jin-ge;LIAO Liang;YANG Jun;YANG Ying;SUN Yu-ping;LIAO Xin-fu. Analysis on Principal Component of Relative Indices under Drought Resistance during the Seedling Stage of Hami Melon [J]. , 2016, 53(1): 114-119. |
| [15] | ZHANG Ting;CHE Feng-bin;ZHENG Su-hui;XU Bin;CHEN Juan. Effects of Cold Acclimation Treatments on Chilling Injury and Physiological Changes of Hami Melon(Cucumis melo L.)Fruit during Cold Storage [J]. , 2015, 52(6): 1056-1062. |
| Viewed | ||||||
|
Full text |
|
|||||
|
Abstract |
|
|||||