新疆农业科学 ›› 2025, Vol. 62 ›› Issue (5): 1159-1169.DOI: 10.6048/j.issn.1001-4330.2025.05.013

• 园艺特产·农产品加工工程 • 上一篇    下一篇

不同形态硒调控灰枣抗氧化能力和硒代谢的机理分析

袁玉婷1(), 刘德粉1, 孙万金3, 贾文昭4, 马生军1(), 康露2()   

  1. 1.新疆农业大学食品科学与药学学院,乌鲁木齐 830052
    2.新疆维吾尔自治区农业科学院农业质量标准与检测技术研究所,乌鲁木齐 830091
    3.新疆生产建设兵团第一师八团社会事务服务中心,新疆阿拉尔 843300
    4.新疆生产建设兵团第一师八团农业发展服务中心,新疆阿拉尔 843300
  • 收稿日期:2024-10-14 出版日期:2025-05-20 发布日期:2025-07-09
  • 通信作者: 马生军(1977-),男,新疆乌鲁木齐人,副教授,博士,研究方向为中药质量与安全评价、药食两用功能性食品开发,(E-mail)wlmqmsj@sina.com;
    康露(1987-),男,新疆石河子人,副研究员,博士,研究方向为农产品安全,(E-mail)96208zx@163.com
  • 作者简介:袁玉婷(1999-),女,新疆喀什人,硕士研究生,研究方向为食品加工与安全,(E-mail)1486361352@qq.com
  • 基金资助:
    新疆维吾尔自治区公益性科研院所基本科研业务经费项目(KY2024026);师市科技计划项目(KY2024JBGS02)

Study on the mechanism of different forms of selenium on antioxidant ability and selenium metabolism of Hui jujube

YUAN Yuting1(), LIU Defen1, SUN Wanjin3, JIA Wenzhao4, MA Shengjun1(), KANG Lu2()   

  1. 1. College of Food Science and Pharmacy, Xinjiang Agricultural University, Urumqi 830052, China
    2. Institute of Agricultural Quality Standards and Testing Technology, Xinjiang Uyghur Autonomous Region Academy of Agricultural Sciences, Urumqi 830091, China
    3. Social Affairs Service Center of the Eighth Regiment of the First Division of Xinjiang Production and Construction Corps, Aral Xinjiang 843300, China
    4. Agricultural Development Service Center of the Eighth Regiment of the First Division of Xinjiang Production and Construction Corps, Aral Xinjiang 843300, China
  • Received:2024-10-14 Published:2025-05-20 Online:2025-07-09
  • Supported by:
    Basic Business Funds for Public Welfare Research Institutes in Xinjiang Uygur Autonomous Region(KY2024026);Xinjiang Production and construction Corps Science and Technology Plan Project(KY2024JBGS02)

摘要:

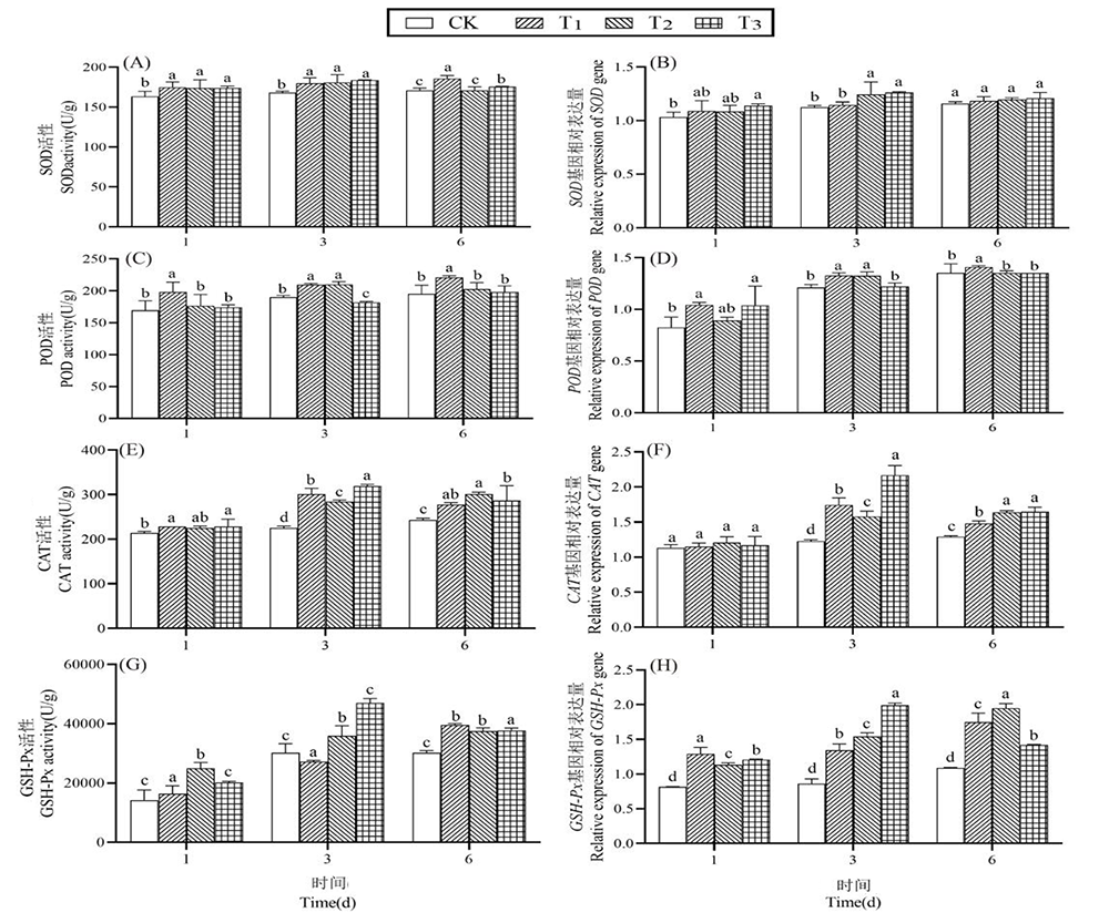
【目的】研究亚硒酸钠、纳米硒和有机硒3种不同形态硒对灰枣外观形态、抗氧化能力及硒代谢的影响,为分析不同形态硒在植物体内的积累机制提供理论依据。【方法】以灰枣为研究对象,设置亚硒酸钠、纳米硒和有机硒共3个处理,测定处理前后灰枣叶片和果实的外观形态,抗氧化酶活性及基因表达量,硒代氨基酸及硒代谢相关基因表达水平。【结果】施用纳米硒、亚硒酸钠和有机硒后,灰枣的外观形态,抗氧化酶活性及基因表达量,硒代氨基酸含量及硒代谢相关基因表达水平均显著增加,其中灰枣硬度增长14.40%~19.59%,可溶性固形物增长23.77%~37.43%,谷胱甘肽过氧化物酶(GSH-Px)及基因表达量分别增长了10.23%~110.41%和8.18%~123.91%,总硒含量提高3.09~34.14倍,硒代蛋氨酸(SeMet)增长100.00%~346.15%,半胱氨酸脱硫酶(CysD)基因表达量增长18.13%~195.43%。【结论】喷施纳米硒、亚硒酸钠和有机硒后转化为硒代氨基酸,且不同形态硒对灰枣的外观形态、抗氧化能力、硒代氨基酸均有影响。有机硒处理优于亚硒酸钠和纳米硒处理。

关键词: 灰枣; 抗氧化能力; 硒代谢

Abstract:

【Objective】 To study the effects of sodium selenite, nano-selenium and organic selenium on the appearance, antioxidant capacity and selenium metabolism of Hui jujube in the hope of providing theoretical basis for analyzing the accumulation mechanism of different selenium forms in plants. 【Methods】 Three treatments, sodium selenite, nano-selenium and organic selenium, were set up to determine the appearance of leaves and fruits, antioxidant enzyme activity and gene expression levels, selenoamino acids and gene expression levels related to selenium metabolism before and after treatment. 【Results】 After the application of nano-selenium, sodium selenite and organic selenium, the appearance morphology, antioxidant enzyme activity and gene expression, selenoamino acid content and selenium metabolization-related gene expression levels of Hui jujube were significantly increased, among which the hardness of Hui jujube increased by 14.40%-19.59%, soluble solid increased by 23.77%-37.43%. Glutathione peroxidase (GSH-Px) and gene expression were increased by 10.23%-110.41% and 8.18%-123.91%, respectively, total selenium content was increased by 3.09-34.14 times, selenometine (SeMet) was increased by 100.00%-346.15%. Cysteine desulphurase (CysD) gene expression increased by 18.13%-195.43%. 【Conclusion】 After nano-selenium, sodium selenite and organic selenium are transformed into selenoamino acids after spraying, different forms of selenium have effects on the appearance, antioxidant capacity and selenoamino acids of Hui jujube. In conclusion, organic selenium treatment is superior to sodium selenite and nano-selenium treatment.

Key words: Hui jujube; antioxidant capacity; selenium metabolism

中图分类号: 


ISSN 1001-4330 CN 65-1097/S
邮发代号:58-18
国外代号:BM3342
主管:新疆农业科学院
主办:新疆农业科学院 新疆农业大学 新疆农学会

出版单位:《新疆农业科学》编辑部
地址:乌鲁木齐市南昌路403号新疆农业科学院
邮编:830091
电话:0991-4502046
E-mail:xjnykx-h@xaas.ac.cn


版权所有 © 《新疆农业科学》编辑部
本系统由北京玛格泰克科技发展有限公司设计开发
总访问量: 今日访问: 在线人数:
网站
微信公众号
淘宝购买
微店购买