新疆农业科学 ›› 2022, Vol. 59 ›› Issue (7): 1776-1785.DOI: 10.6048/j.issn.1001-4330.2022.07.025

• 土壤肥料·农业装备工程·畜牧兽医·草业 • 上一篇    下一篇

基于GIS的塔额盆地农田土壤养分空间变异特征分析

信会男1(), 赖宁1, 耿庆龙1(), 陈署晃1(), 李娜1, 李永福1, 赵海燕2   

  1. 1.新疆农业科学院土壤肥料与农业节水研究所,乌鲁木齐 830091
    2.新疆九圣禾种子标准研究院有限公司,新疆昌吉 831113
  • 收稿日期:2021-02-05 出版日期:2022-07-20 发布日期:2022-08-04
  • 通信作者: 耿庆龙(1982-),男,山东人,硕士,副研究员,研究方向为土壤资源与地理信息技术,(E-mail) 564819139@qq.com;
    陈署晃(1973-),女,河南人,硕士,研究员,研究方向为土壤肥料与农业信息技术,(E-mail) chensh66@163.com
  • 作者简介:信会男(1994-),男,河南人,助理研究员,硕士,研究方向为农业大数据与农业遥感,(E-mail) 1509677813@qq.com
  • 基金资助:
    中央引导地方科技发展专项资金“新疆遥感与农业大数据应用服务平台”;农业部耕地质量保护专项资金“国家耕地质量监测”和“轮作休耕试点区域耕地质量监测”;国家重点研发计划项目(2018YFD0200406)

Spatial Variability of Farmland Soil Nutrients in Ta'er Basin Based on GIS

XIN Huinan1(), LAI Ning1, GENG Qinglong1(), CHEN Shuhuang1(), LI Na1, LI Yongfu1, ZHAO Haiyan2   

  1. 1. Institute of Soil, Fertilizer and Agricultural Water Conservation, Xinjiang Academy of Agricultural Sciences, Urumqi 830091, China
    2. Xinjiang Jiushenghe Academy of Seed Standard Co. Ltd. Changji, Xinjiang 831113,China
  • Received:2021-02-05 Published:2022-07-20 Online:2022-08-04
  • Supported by:
    Special Funds for Local Science and Technology Development Guided by the Central Committee"The Application and Service Platform for Remote Sensing and Agricultural Big Data in Xinjiang";Special Funds for Cultivated Land Quality Protection of the Ministry of Agriculture "National Monitoring of Cultivated Land Quality" and "Monitoring of Cultivated Land Quality in the Pilot Area of Fallow Rotation";The National Key Research and Development Program of China(2018YFD0200406)

摘要:

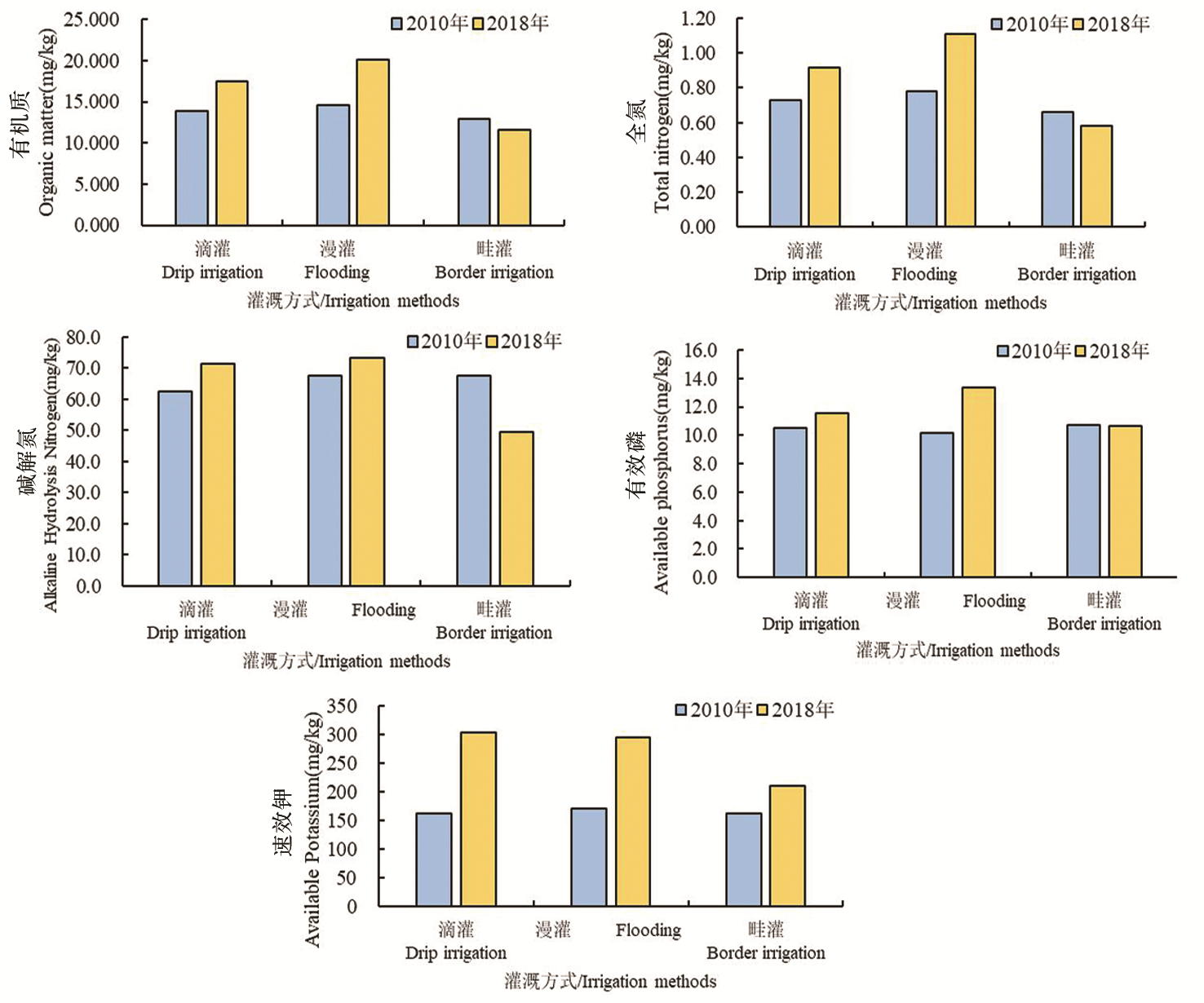
【目的】研究新疆塔额盆地耕地土壤养分的空间分布以及变化。【方法】基于该地区2010年和2018年2个时期的样点养分数据(有机质、全氮、碱解氮、有效磷、速效钾),利用统计学、地统计手段,与GIS技术相结合,分析耕层土壤的时空变异性。【结果】2010~2018年期间耕层土壤指标都处于中等强度变异,其中变异系数最高的为2018年的有效磷为85.79%。2018年各项指标的标准化Z值均低于2010年,近年来以下指标的空间自相关呈现减弱趋势。养分指标含量整体呈现四周低中间高。在不同土壤类型下潮土的养分含量增加最少,其余2种土类下都存在较大幅度的增加。在不同灌溉方式下,滴灌和漫灌的灌溉方式养分含量都有所增加,但出现漫灌方式养分含量增加较滴灌下增长较低的现象。【结论】2010-2018年5种养分指标都呈中等程度变异,人为活动对土壤养分含量的影响较大;各养分含量都有所上升,有效磷与速效钾上升最为明显;不同土类养分含量均为增加趋势;滴灌和漫灌下养分含量有所增长,但畦灌条件下养分有所下降;耕地质量处于中等偏下。

关键词: GIS; 空间变异; 半方差函数; 灌溉方式

Abstract:

【Objective】 To grasp the spatial distribution and changes of cultivated soil nutrients in Tahe Basin.【Methods】 Based on the sample point nutrient data (organic matter, total nitrogen, alkali-hydrolized nitrogen, available phosphorus and available potassium) in 2010 and 2018 in this region, statistical and geostatistical methods were used to combine with GIS technology to explore the spatiotemporal variability of ploughed soil.【Results】 From 2010 to 2018, the indicators of topsoil were in moderate intensity variation, among which the highest coefficient of variation was 85.79% of available phosphorus in 2018.According to the standardized Z value, the standardized Z value of all indicators in 2018 was lower than that in 2010, indicating that the spatial autocorrelation of the following indicators weakened in recent years.The nutrient index content was low in all four weeks and high in the middle.Under different soil types, the nutrient content of tidal soil increased the least, while under the other two types of soil there was a significant increase.Under different irrigation methods, the nutrient content of both drip and diffuse irrigation increased, but the increase of nutrient content under diffuse irrigation was lower than that under drip irrigation.【Conclusion】 Human activities, such as straw mulching, fertilization and rotation rest, are the main factors affecting the spatiotemporal changes of soil nutrients.

Key words: GIS; spatial variability; semi-variance function; irrigation method

中图分类号: 


ISSN 1001-4330 CN 65-1097/S
邮发代号:58-18
国外代号:BM3342
主管:新疆农业科学院
主办:新疆农业科学院 新疆农业大学 新疆农学会

出版单位:《新疆农业科学》编辑部
地址:乌鲁木齐市南昌路403号新疆农业科学院
邮编:830091
电话:0991-4502046
E-mail:xjnykx-h@xaas.ac.cn


版权所有 © 《新疆农业科学》编辑部
本系统由北京玛格泰克科技发展有限公司设计开发
总访问量: 今日访问: 在线人数:
网站
微信公众号
淘宝购买
微店购买