Page 150 - Demo
P. 150
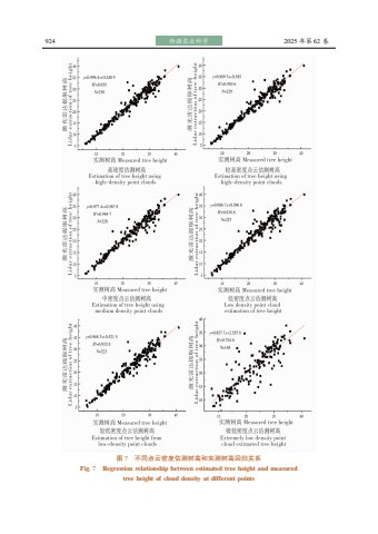
!\%uff12%uff10%uff12%uff15KL %uff16%uff12MX %uff17 %u00d6%u00d7%u00a67%u00a7CDE%u00db%u00c5|%u00a3E%u00db%u00c5OPT%u00a1%uff26%uff49%uff47%ue010%uff17 %uff32%uff45%uff47%uff52%uff45%uff53%uff53%uff49%uff4f%uff4e%uff52%uff45%uff4c%uff41%uff54%uff49%uff4f%uff4e%uff53%uff48%uff49%uff50%uff42%uff45%uff54%uff57%uff45%uff45%uff4e%uff45%uff53%uff54%uff49%uff4d%uff41%uff54%uff45%uff44%uff54%uff52%uff45%uff45%uff48%uff45%uff49%uff47%uff48%uff54%uff41%uff4e%uff44%uff4d%uff45%uff41%uff53%uff55%uff52%uff45%uff44%uff54%uff52%uff45%uff45%uff48%uff45%uff49%uff47%uff48%uff54%uff4f%uff46%uff43%uff4c%uff4f%uff55%uff44%uff44%uff45%uff4e%uff53%uff49%uff54%uff59%uff41%uff54%uff44%uff49%uff46%uff46%uff45%uff52%uff45%uff4e%uff54%uff50%uff4f%uff49%uff4e%uff54%uff53%uff19%uff12%uff14

